00191413-01 - 第266页
8 Product / PCB User Manual Line Computer UNIX 8.1 PCB Editor Software Version 501.xx 01/99 Issue 8 - 28 8.1.4.2 SER VICES Menu - Openin g the Place ment Position Editor ● Click on SERV ICES --> Placement Posit ion Ed…

User Manual Line Computer UNIX 8 Product / PCB
Software Version 501.xx 01/99 Issue 8.1 PCB Editor
8 - 27
8.1.4.1 EDIT Menu
- Resetting Cluster Data
The entries already existing for the PCB type concerned can be deleted from the editing area.
● Click on EDIT --> Reset cluster data.
The editing area is empty, new entries can be made.
NOTE
If the PCB Editor is exited from without activating "Save", the old data will be redisplayed when the
PCB(Cluster) Editor is called up again.
- Loading cluster data from
This function enables the cluster data of another PCB type (single circuit) to be loaded into the
Cluster Editor of the current PCB type.
● Activate icon in the command area of the current Structure Editor.
● Select partial PCB structure (target).
● Click on SERVICES --> Cluster Editor.
The window of the Cluster Editor is opened.
● Click on FILE --> Open....
The FSB for the selection of the (source) PCB is opened (see page 8 - 6).
● Select PCB by double-clicking.
The main window of the new Structure Editor is opened.
● Click on the partial PCB structure from which the cluster data are to be loaded (source).
● Click on EDIT -> Load cluster data from in the current Cluster Editor (target).
The following dialog box appears:
● Click on OK if the action is to be performed.
The window of the Placement Position Editor is displayed for checking purposes.
● Click on window of Cluster Editor (to make it the topmost window of the window batch).
The cluster data loaded are now displayed.

8 Product / PCB User Manual Line Computer UNIX
8.1 PCB Editor Software Version 501.xx 01/99 Issue
8 - 28
8.1.4.2 SERVICES Menu
- Opening the Placement Position Editor
● Click on SERVICES --> Placement Position Editor.
The window of the Placement Position Editor is opened (see section 8.1.6).
8.1.4.3 Editing Area of Cluster Editor
INPUT POSSIBILITIES
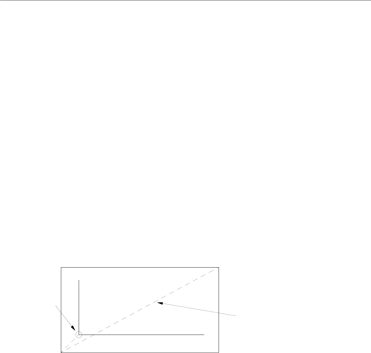
The outer measurements of the current PCB type (cluster) are defined by the dimensional values in x and
y-directions. Values up to max. 999.999 can be entered in each case.
- Vector (0,0)-->corner_1 X [mm] or Y [mm]
example: X = -10.000; Y = -10.000
- Vector corner_1-->corner_2 X [mm] or Y [mm]
example: X = 80.000; Y = 50.000
- PCB height: h [mm]
In this field the PCB thickness is to be entered; it is possible to
enter a number with three places before and after the decimal
point.
+ Y
+ X
corner 1
corner 2
vector
0, 0

User Manual Line Computer UNIX 8 Product / PCB
Software Version 501.xx 01/99 Issue 8.1 PCB Editor
8 - 29
- Max. comp. height tol. (copl.): [1/1000 mm]
This entry is only required for coplanarity measurement.
The max. component height tolerance is to be entered;
values up to max. 999 can be entered.
8.1.4.4 Setting Area Cluster Editor
ENTRIES REQUIRED for the Placement Procedure
- Place. position recognition: yes / no
If fiducials for placement position recognition have been
defined, "Place.position recognition" can be turned on or
off for the current PCB type (cluster) by selecting "yes" or
"no", respectively.
- Ink spot: yes / no
"Ink spot recognition" can be turned on or off for the
current PCB type (cluster) by selecting "yes" or "no",
respectively.
- PCB position recognition: yes / no
"PCB position recognition can be turned on or off for the
current PCB type (cluster) by selecting "yes" or "no",
respectively.
- Omit cluster: omit
If this setting has been activated, the current PCB type
(cluster) will be skipped during placement when the
complete PCB is processed.
Procedure to be followed for editing:
- Editing the cluster data
● Position the mouse cursor in the editing field and make entries using the keyboard.
- Copying individual entries using the mouse from/into editing fields of the Cluster Editor in the same
window or into another open window of the Cluster Editor
● Hold down the left mouse button and move the mouse cursor over the entries to be copied
(exactly to the end of the last character) and then release the mouse button.
The lines concerned now darken.
● Hold down the center mouse button and position the cursor in the respective editing field of the
window of the Cluster Editor where the entries are to be inserted and then release the mouse
button. The copied entries are now displayed.