JM-10_使用说明书 - 第231页
第 1 部 基本篇 第 2 章 生产 2- 129 2- 12 -2-2 贴片跟踪画面 为了进行贴片跟 踪,按照 贴片编号顺序显 示贴片元 件信息。 此时,可指定是 否进行贴 片,以及是否进 行跟踪。 另外,可在贴片 点附加标 记。 图 2-12-2-2-1 贴片 跟踪 在此 , 如果按下 <START> 开关,在搬入基板或传送道 上有基板时,则进行再夹 紧。如果基板 已处于夹紧状态 ,则不进 行搬入和再夹。 夹紧后,如果指…

第 1 部 基本篇 第 2 章 生产
2-128
2-12-2 贴片跟踪
开始生产前显示贴片点的列表,通过贴片跟踪确认贴片点上是否已贴片。
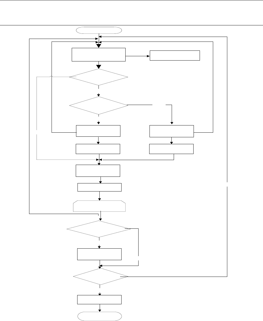
2-12-2-1 贴片跟踪操作流程图
显示确认贴片
跟踪对话框
START
按下START
传送通路上
是否有基板
确认重夹对话框
是
否
基板搬入
确认对话框
贴片跟踪
初始处理
按下START
对贴片跟踪点的
贴片跟踪
设置
跟踪后是否
进行贴片
设置
是否贴片
是
否
确认生产开始
否
是
生产运行开始
生产空运行状态
按下
STOP
按下
STOP
按下
STOP
按下START
END
BOC标记识别
按下
STOP
基板是否已夹紧
否
是
重夹基板
搬入基板
图 2-12-2-1-1 贴片跟踪动作流程图

第 1 部 基本篇 第 2 章 生产
2-129
2-12-2-2 贴片跟踪画面
为了进行贴片跟踪,按照贴片编号顺序显示贴片元件信息。
此时,可指定是否进行贴片,以及是否进行跟踪。
另外,可在贴片点附加标记。
图 2-12-2-2-1 贴片跟踪
在此,如果按下<START>开关,在搬入基板或传送道上有基板时,则进行再夹紧。如果基板
已处于夹紧状态,则不进行搬入和再夹。
夹紧后,如果指定了标记,则进行标记识别。
然后,用指定的跟踪方法进行贴片跟踪。
◇ 单独跟踪时,不管当前行是否指定都要进行跟踪。
◇ 连续跟踪时,根据设置对指定跟踪的贴片点进行跟踪。此时,跟踪动作将对每一贴片点执
行跟踪功能。因此,在进行跟踪功能时,不能向任意的贴片点移动。
此时,贴片点一览表的当前行会变更为进行跟踪的行。

第 1 部 基本篇 第 2 章 生产
2-130
(1) 贴片点显示项目
根据序列,按照贴片编号顺序显示贴片点的信息。
图 2-12-2-2-2 显示贴片点项目
请在表上选择进行贴片跟踪的贴片点。
此外,为了决定连续跟踪时是否进行跟踪、是否贴片、是否附加标记,需要选择贴片点。
(2) 参照显示项目
显示生产程序的信息。
图 2-12-2-2-3 参照显示项目
No. 项目 内容
1 贴片合计 显示贴片点的总数。
2 未贴片数 显示未贴片的贴片点总数。
3 顺序 显示指定是按输入顺序还是按优化顺序。
4 电路总数 显示电路的总数。
5 总步骤数 显示步骤总数。
6 中断电路号 有继续生产文件时,贴片被中断的电路编号。
7 中断步骤号 有继续生产文件时,贴片被中断的步骤号。
8 中断贴片号 有继续生产文件时,贴片被中断的贴片编号。
(3) 跟踪方法
选择连续跟踪和单独跟踪。
No. 项目 内容
1 连续跟踪
根据下一项中说明的跟踪设定,从跟踪开始位置起,对贴片点
一览表的跟踪贴片点进行连续跟踪。
2 单独跟踪
对贴片点一览表的当前贴片点进行贴片跟踪。
该单独贴片跟踪与是否进行跟踪的指定无关,单独进行跟踪。