KE-2070_2080_InstructionManual_C_Rev01.pdf - 第515页
第1部 基本篇 第4章 制作生产程序 4-212 4-5-4-4-4 坐标类:吸取位置/吸取高度 通过摄像机跟踪吸取位置。确认监视器中显示的吸取位置,当输入坐标不准确时,可通过示 教进行修正。 此外,可以通过HMS(选购件)跟踪吸取高度。此时,监视器上依次显示从HMS获得的检测值。 当高度有明显差异时,请与坐标示教一样,对高度值进行示教。 ◆ 吸取位置(高度)跟踪的流程 1) 设定条件 从菜单栏中选择“机器操作”/“确认”/“坐标类”/…

第1部 基本篇 第4章 制作生产程序
4-211
◆ 贴片跟踪时的示教操作流程
贴片坐标
向 XYZ 编辑箱中
输入焦距
按
下 HOD 设
备键
示
教操作
确定坐标
后
ENTER
CANCEL
按
下“
设定
”
按钮
或 ENTER
按
下“取
消
”
按钮
或 CANCEL
变
更
贴片数据

第1部 基本篇 第4章 制作生产程序
4-212
4-5-4-4-4 坐标类:吸取位置/吸取高度
通过摄像机跟踪吸取位置。确认监视器中显示的吸取位置,当输入坐标不准确时,可通过示
教进行修正。
此外,可以通过HMS(选购件)跟踪吸取高度。此时,监视器上依次显示从HMS获得的检测值。
当高度有明显差异时,请与坐标示教一样,对高度值进行示教。
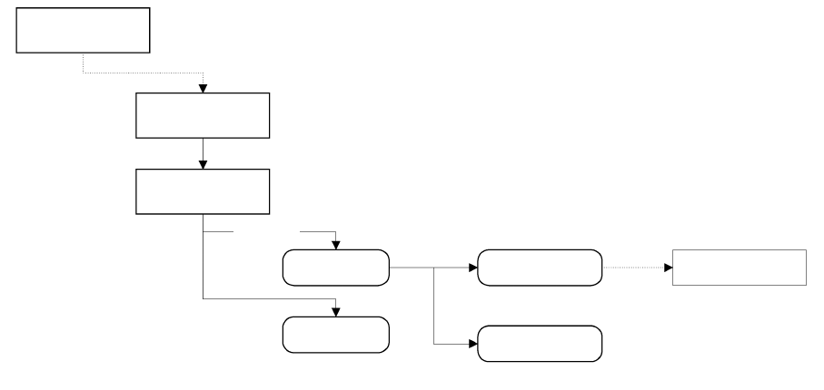
◆ 吸取位置(高度)跟踪的流程
1) 设定条件
从菜单栏中选择“机器操作”/“确认”/“坐标类”/“跟踪吸取位置”,显示如下画面。
图 4.5.4.4.4-1 吸取坐标位置摄像机跟踪
机器操作菜单
吸取位置/吸取高度
设
置吸取跟
踪的
条件
执行吸取位置
(高度)跟踪
反映各坐标的修正
向各吸取数据坐标移动
用监视器检查
坐标/HMS 检出值
用 HOD 进行示教
各坐标的修正
选择
执行

第1部 基本篇 第4章 制作生产程序
4-213
从菜单栏中选择“机器操作”/“确认”/“坐标类”/“跟踪吸取高度”,显示如下画面。
图 4.5.4.4.4-2 吸取高度摄像机跟踪
① 执行模式
(1) 跟踪吸取位置
用摄像机跟踪吸取位置。
(2)跟踪吸取高度
执行跟踪吸取高度。
* 按了2个按钮时,先执行跟踪吸取位置,再执行跟踪吸取高度。
② 自动示教
(1) 执行自动示教
执行自动示教。
(2) 检测能同时吸取的范围
检测是否可执行同时吸取。
同时吸取需先执行优化。若未执行优化而按下按钮时,会显示错误提示,要求执行
优化。
③ 跟踪方法
(1) 自动跟踪
以一定的间隔,依次使用摄像机捕获吸取位置。在以下的“自动跟踪间隔”中设定的
时间中停止,经过该设定的时间后移动到下一点。
●自动传送间隔:调整停止间隔。设定范围为0.01秒~5秒。
(2) 手动跟踪
按HOD的“NEXT”键或<开始>开关,移动到下一点。