KE-2000R_InstructionManual_C_Rev00说明 - 第819页
第2部 功能详细篇 第1 2章 选项元件 12-33 12-9-7 生产 共面性检查在基板生产、试打、空打时执行。 ☆ 空时打不执行实际检查。 12-9-7-1 共面检查步骤 ① 对象元件的间距 ② 向VCS位置移动 ③ 用VCS进行图像识别 ④ 移动到共面传感器计量开始位置 ⑤ 检查是否为共面检查可执行元件 ⑥ 根据图像识别结果进行位置修正 ⑦ 元件的共面检查 ⑧ 根据共面检测传感器计量结果判断合格与否 [合格与否判断后的处理] ⑧_…

第2部 功能详细篇 第12章 选项元件
12-32
12-9-6 数据编辑
开始“程序编辑”,选择“元件数据”的“检查”标签。
图 12-9-6-1 共面检测设定画面
请设定共面性检查数据。
关于检查的详情,请参照第4章 生产程序制作“4-3-5-2-6 检查”。

第2部 功能详细篇 第12章 选项元件
12-33
12-9-7 生产
共面性检查在基板生产、试打、空打时执行。
☆ 空时打不执行实际检查。
12-9-7-1 共面检查步骤
① 对象元件的间距
② 向VCS位置移动
③ 用VCS进行图像识别
④ 移动到共面传感器计量开始位置
⑤ 检查是否为共面检查可执行元件
⑥ 根据图像识别结果进行位置修正
⑦ 元件的共面检查
⑧ 根据共面检测传感器计量结果判断合格与否
[合格与否判断后的处理]
⑧_1 元件废弃
⑧_2 元件贴片
⑧_3 暂停
图 12-9-7-1 处理流程
吸取对象元件
向 VCS 位置移动
用 VCS 进行图像识别
向共面传感器位置移动
元件检查
①
②
③
④
⑤
⑥
⑦
⑧
L
共面性检查
合格与否
结束
元件位置修正
下页: 共面装置的检查流程
请参照[图 13-12-7(1)]

第2部 功能详细篇 第12章 选项元件
12-34
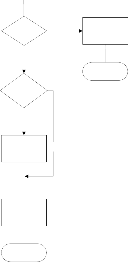
■ 共面装置的检查流程
START
是 BGA 吗?
共线性
检查(注 2)
共面性
检查(注 1)
是
单向引脚
是否为连接器?
共面性
检查(注 3)
否
END
END
注 1)BGA、FBGA 的共面检查,仅用最小平方平面法。
注 2)单向引脚连接器不进行共线检查。
注 3)单向引脚连接器的共面性检查与现状共线性检查相同。
图 12-9-7-2 处理流程(共面性检查的流程)
否
是