Jutze AOI使用手册 - 第6页
Jutze™ Rev:1.0 6 PoweR epair 维修主界面 菜单栏,快捷工具栏 全板缩略图 基板基本 信息栏 不良元件清单 样本图 元件细分不良 窗口清单 真实图

Jutze™ Rev:1.0
5
1.1.2 操作界面介绍
CVImage 检查程序主界面
菜单栏,快捷工具栏
不良类型
圆饼图
机器状态
生产信息
统计栏
基板基本
信息栏
全板图

Jutze™ Rev:1.0
6
PoweRepair 维修主界面
菜单栏,快捷工具栏
全板缩略图
基板基本
信息栏
不良元件清单
样本图
元件细分不良
窗口清单
真实图

Jutze™ Rev:1.0
7
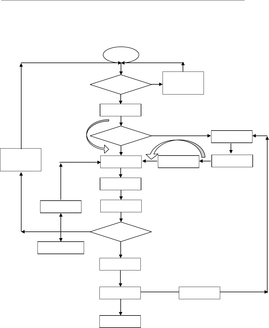
MI2000 操作流程(开机)
开机
按 Start 钮
运行归零
程序确认
选择程序
运行->自动
运行
->
出口
调整轨宽
正常模式
按 Start 钮
Inspect
Mark Error
Barcode Error
安全传感器
E-Stop
安全传感器
E-Stop
Repair
CVImage
Repair
运行
->
停止
R
E