KE2030取扱説明書Ver.2.01,和文Rev.09 - 第272页
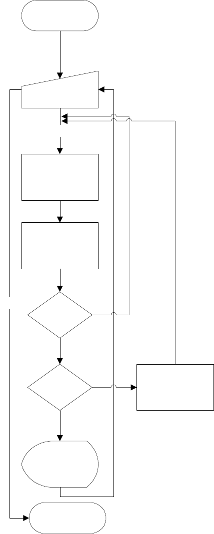
4 - 169 4-12-3-3. プラナリティ検査の検査概要 プラナリティ検査の検査概要 プラナリティ検査の検査概要 プラナリティ検査の検査概要 以下にコプラナリティ検査の概要フロー図を示します。 コプラナリティ 検査開始 検査実行 (ダイアログ) コプラナリティ 検査 結果表示 (ダイアログ) コプラナリティ 検査終了 検査実行 終了 ビジョン認識 図 図 図 図 4 4 4 4- - - -12 12 12 12- - -…

4 - 168
4-12-3.コプラナリティ検査
コプラナリティ検査コプラナリティ検査
コプラナリティ検査
コプラナリティ検査とパラメータ取得を実行します。
4-12-3-1.操作
操作は、
4-12-3
ビジョン認識検査
と同様です。
パラメータ取得を実行する場合は、パラメータ取得の回数に測定回数を入力し、取得ボタン<
>キーを押すとパ
ラメータ取得が実行されます。
パラメータ取得中に、動作を停止したい場合は、<STOP>キーにより、動作を中断できます。
4-12-3-2.コプラナリティ検査ダイアログ
生産プログラム編集で、マシン操作、検査
、コプラナリティ検査を選択すると以下のダイアログが表示されます。
戻る[
]ボタンを押すと、コプラナリティ検査を終了します。
図
図図
図
4.12.3.4.1
コプラナリティ検査ダイアログ
コプラナリティ検査ダイアログコプラナリティ検査ダイアログ
コプラナリティ検査ダイアログ

4 - 169
4-12-3-3.プラナリティ検査の検査概要
プラナリティ検査の検査概要プラナリティ検査の検査概要
プラナリティ検査の検査概要
以下にコプラナリティ検査の概要フロー図を示します。
コプラナリティ
検査開始
検査実行
(ダイアログ)
コプラナリティ
検査
結果表示
(ダイアログ)
コプラナリティ
検査終了
検査実行
終了
ビジョン認識
図
図図
図4
44
4-
--
-12
1212
12-
--
-3
33
3-
--
-2
22
2コプラナリティ検査の概要処理フロー
コプラナリティ検査の概要処理フローコプラナリティ検査の概要処理フロー
コプラナリティ検査の概要処理フロー
4-12-3-4.
コプラナリティ検査の検査方式
コプラナリティ検査の検査方式コプラナリティ検査の検査方式
コプラナリティ検査の検査方式
部品データに設定されている値で、ビジョン認識→コプラナリティ検査の一連の制御を実施し、エラーにならない
ことを検査します。
4-12-3-5.
コプラナリティ検査中ダイアログ
コプラナリティ検査中ダイアログコプラナリティ検査中ダイアログ
コプラナリティ検査中ダイアログ
コプラナリティ検査ダイアログで、検査ボタンを押すと、コプラナリティ検査が実行され、実行中は以下のダイア
ログが表示されます。
図
図図
図4
44
4-
--
-12
1212
12-
--
-3
33
3-
--
-3
33
3コプラナリティ検査中ダイアログ
コプラナリティ検査中ダイアログコプラナリティ検査中ダイアログ
コプラナリティ検査中ダイアログ

4 - 170
4-12-3-6.
コプラナリティパラメータ取得の概要
コプラナリティパラメータ取得の概要コプラナリティパラメータ取得の概要
コプラナリティパラメータ取得の概要
パラメータ
取得開始
検査実行
(ダイアログ)
コプラナリティ
検査
結果表示
(ダイアログ)
パラメータ
取得終了
検査実行
終了
ビジョン認識
設定回数
終了
判定
パラメータ
変更
図
図図
図4
44
4-
--
-12
1212
12-
--
-3
33
3-
--
-4
44
4コプラナリティパラメータ取得
コプラナリティパラメータ取得コプラナリティパラメータ取得
コプラナリティパラメータ取得処理フロー
処理フロー処理フロー
処理フロー
4-12-3-7.
コプラナリティパラメータ取得の検査方式
コプラナリティパラメータ取得の検査方式コプラナリティパラメータ取得の検査方式
コプラナリティパラメータ取得の検査方式
コプラナリティ検査が、安定しない場合に、電極明るさしきい値、スキャン位置オフセット
リード部品のみ
を、
設定値に対して変更し、計測が安定するパラメータを取得します。測定回数については、設定回数の倍数になり、
最大、設定回数×20
回程度になる場合があります。