CP43操作手册.pdf.pdf - 第83页

Chapter 1 Automatic Operation Part 2 1.5.3 Changeover Mode T ables 1 and 2 are used separately . A maximum of 80 devices is possible on each table. Either table 1 or 2 can be used and the other table can be prepar ed for…

100%1 / 364
Chapter 1 Automatic OperationPart 2
Enter
Parts set on
original table?
Original table moves to
part picking position
Produce board
Have parts run out?
Board change
A
Original table moves to
resupply position
Parts set on
spare table?
Spare table becomes
original table
B
Exit
B
A
YES
NO
YES
NO
A
NO
Original table moves to
part picking position
Display parts
resupply message
2 – 14Version 2.0
FCP IV-3 Operation
Chapter 1 Automatic OperationPart 2
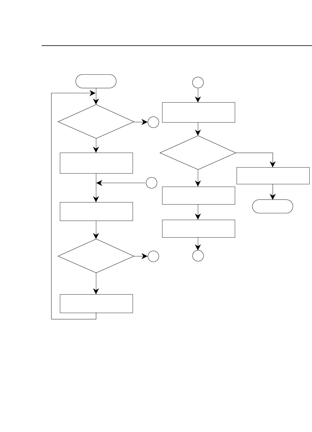
1.5.3 Changeover Mode
Tables 1 and 2 are used separately. A maximum of 80 devices is
possible on each table. Either table 1 or 2 can be used and the other
table can be prepared for use with the next production program.
When the program is changed the next device table moves to its
part picking position. The table used until now moves to
resupplied pos.
This is useful for when the operator has many small production
runs.
Table 1 Table 2
Device currently in use Device to be used in next production
View from the rear "1A 2B"
1.6 Loading and Unloading Boards
The loading and unloading of boards is carried out automatically. When
automatic operation begins, the machine detects whether or not a board
is on the XY table. If no board is on the XY table, a board is supplied from
the in-conveyor. If a board is already on the XY table, then one of the
following two operations takes place depending on the status of the board
If parts have not yet been placed, parts are placed.
If all parts have been placed the board is unloaded and a new board is
supplied.
1.7 Advance Pickup of Parts
In automatic operation, when one board is finished and another has
arrived on the in-conveyor, the machine will pick parts for the next board
in advance in order to minimize waiting time. If there is no board on the
in-conveyor, the machine will wait until one arrives before picking parts.
The advance part pickup operation depends on the contents of the
production program.
If the program includes block skip marks
Since production sequences cannot be confirmed, advance parts
pickup is not carried out. Only after all the block skip marks have
been read are parts picked.
2 – 15Version 2.0
FCP IV-3 Operation
Chapter 1 Automatic OperationPart 2
If the program includes fiducial marks
The position of the board will be determined by the reading of the
fiducial marks. As feedback at Station 6 is necessary to adjust the
angle of placement, the machine will wait for the board to be loaded
after picking the first five parts (the machine stops at Station 5).
All other programs
The first six parts called for by the program are picked (the machine
stops at Station 6).
1.8 Stopping After One Board
If the operator wants to stop production after the board currently being
placed is finished, he should press the [S STOP] command, which is
displayed during automatic operation. The machine will finish the board
currently in production and feed it out. Then, production will stop and
the message "Reset SW" will appear. If there is a board on the in-conveyor
the machine will clamp the board and stop. In this case the message “Stop
after Current Board” will appear, and the function command key
[CANCEL] will display on the screen. If this key is pressed, the machine
will return to normal operation.
2 – 16Version 2.0
FCP IV-3 Operation