JM-100使用说明书 - 第103页
第 1 部 基本篇 第 2 章 生产 2-3 2-2- 2 生产流程 START 生産条件を 選択して起動 終了 生産条件? 生産条件設定 部品数設定 基板生産 空打 空打条件設定 試打条件設定 部品数設定 試打 終了か? 実行モード指定 END 空打 試打 基板生産 N Y 実行モード指定 実行モード指定 START 选择生产条件 并起动 设置试打条件 设置生产条件 设置空打条件 指定运行模式 指定运行模式 试打 空打 设置元件数 设…

第 1 部 基本篇 第 2 章 生产
2-2
2-2 概要
使用已制作的生产程序,检查贴片,进行生产。
制作新建程序后,在实际生产前需要进行试生产,确认贴片坐标、吸取坐标等,并对新建的程序进行
最后检查。
2-2-1 生产模式
生产中有以下 3 种生产模式。
No.
生产模式
内容
1 基板生产 指定生产数量,实际生产基板的模式。
2
试打
试生产模式。
可选择吸取位置跟踪和贴片后的贴片位置跟踪。※
1
3 空打
不使用元件而确认吸取贴片动作的模式。
可选择吸取位置跟踪和贴片位置跟踪。※1
※1:参见第 4 章「4-5-6-4 贴片位置」与「4-5-6-6 吸取位置/吸取高度」。
可在基板生产、试打、空打模式中设置各自具体的生产条件、试打条件及空打条件。

第 1 部 基本篇 第 2 章 生产
2-3
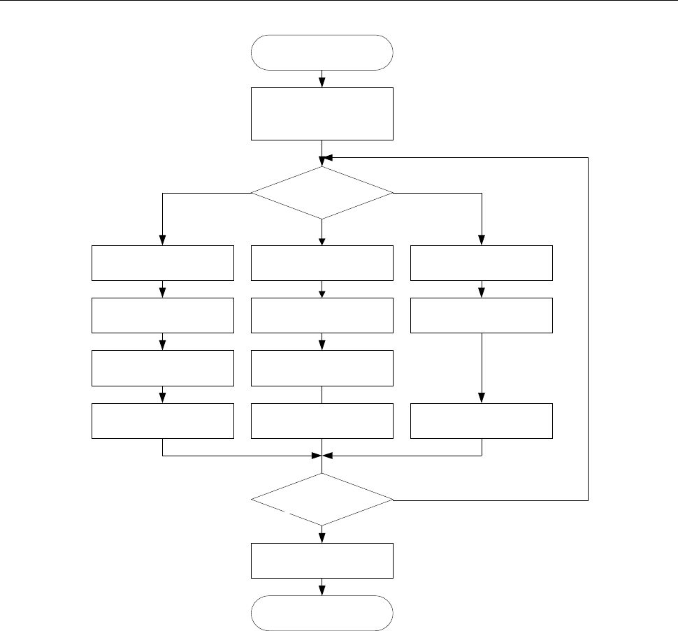
2-2-2 生产流程
START
生産条件を
選択して起動
終了
生産条件?
生産条件設定
部品数設定
基板生産 空打
空打条件設定
試打条件設定
部品数設定
試打
終了か?
実行モード指定
END
空打試打
基板生産
N
Y
実行モード指定 実行モード指定
START
选择生产条件
并起动
设置试打条件 设置生产条件 设置空打条件
指定运行模式
指定运行模式
试打
空打
设置元件数 设置元件数
试打 基板生产 空打
结束?
结束
END
N
Y
指定运行模式
生产条件?
生产基板
生产概略流程

第 1 部 基本篇 第 2 章 生产
2-4
2-2-3 生产主菜单的构成
主菜单
下拉式菜单
内容
1 文件
1 打开
读入生产程序文件。
参见「
2-6-1
打开(读入文件)」
2
保存
覆盖保存编辑的生产程序。参见「
2-6-2
保存」。
3
另存为
改变程序的文件名并另存。参见「
2-6-3
另存为」
4
设备信息的取得和保存
取得设备信息,保存在文件里。
5
生产管理保存
将程序的生产管理信息以文本文件输出
(*.csv)
。
6 删除继续生产文件 删除含有继续生产文件的生产程序的继续生产文件。
2 窗口
1 生产条件画面
显示生产启动画面。
显示在基板生产条件、试打条件、空打条件、操作选
项中设置的内容。
设置共同项目、基板生产运行时、试打运行时、
空打运行时的条件。
2 生产状态(生产状况) 以图形显示生产运行中的各设备的状态。
3
生产状态
(
图像
)
显示生产中拍照的标记识别图像、图像识别画面。
4 生产状态(动作状态) 显示生产运行中的数据(步骤 No.等)。
5
生产状态(生产片数)
放大显示生产中基板数量。
6 生产管理(综合) 显示生产程序固定的储存数据。
7
生产管理(
Head
)
显示每个吸嘴
Head
储存的数据(吸取数等)。
8 生产管理(供应) 显示供应装置每个吸取位置的数据(吸取数等)。
9 生产管理(吸取率)
按最差顺序显示所有吸取装置的吸取位置
的吸取率。
10 对照确认
在
IFS-NX
或外部输出功能使用误安装防止功能时,
可以确认元件的对照状态。
3 生产程序
1
重试列表(供应设备)
显示供应装置的信息画面。
2
重试列表(未贴片)
显示未贴片列表画面。
3 设置元件数
显示元件数量设置画面。
对各吸取数据设置元件数量。
4
编辑数据
可变更一部分数据。
5
检查生产程序
执行生产前检查生产程序。
6
清除生产管理信息
将生产管理信息清除。
4
生产补助
(辅助)
1 支援准备 可进行生产开始前的准备工作。
2 跟踪贴片
生产前显示生产程序的贴片点列表,
对贴片点进行跟踪,确认元件贴片。
3 检测激光高度 可检测激光高度。
5 工具
1 操作选项
显示操作选项画面。
对生产中的动作进行设置。
2
显示项目
设置生产中的状态显示项目的显示
/
隐藏。
3 再次连接 IFS 服务器
使用
IFS-NX
选购项时,不用重新启动贴片机,直接
再次连接
IFS
服务器。
4 与事件通知处再连接
使用外部输出功能时,不用重新启动贴片机,直接与
事件通知处再连接。