FX-2_FCS使用说明书.pdf - 第9页
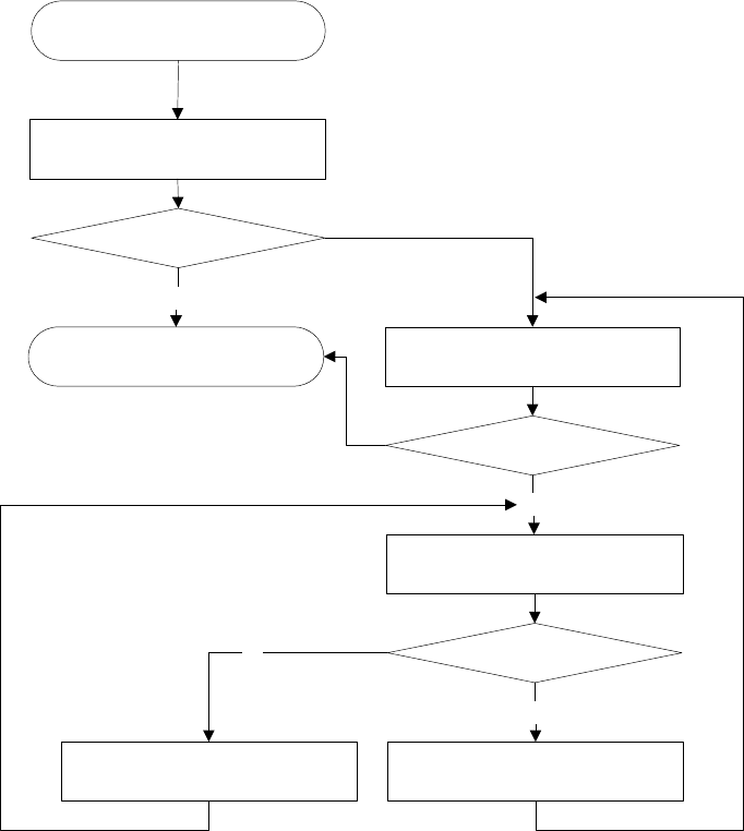
1.2. ② ( 再取得 OC C 偏移量后) 整精度 始 束 ` ①确 精度 装 精 度判 定内 ? OK 装精度 判定 内 ? NG ③断 ( 偏芯量 ) 判定 ? 整吸嘴外 位置 是否 准划 。 NG ④基本偏移量 整 NG OK OK …
1
1.
FX-2
1.1.

1.2.
②(再取得OCC偏移量后)
整精度
始
束
`①确 精度
装精度判定内?
OK
装精度 判定 内?
NG
③断 (偏芯量)
判定?
整吸嘴外 位置
是否 准划。
NG
④基本偏移量 整
NG
OK
OK
2

1.3.
1.3.1.
3