00191828-01.pdf - 第352页
W , , W Programm und Rüstung mit dieser Gehäuseform an Station schicken und rüsten Im „Visionsystem“ „BE testen“ GF nach Bedarf verändern Revolverkopf GF (BE) abholen Pick & Place - Bestückkopf GF (BE) abholen…

W ,,W
Beachten Sie bitte, daß bei
den Standard-GF’s durch
BE-TESTEN eine Änderung
der BE-Erkennung vorge-
nommen werden kann.
(nötigenfalls GF-file
[_.SST file] umkopieren)
GF Datei mit Nr. >1499
programmieren
Gehäusetyp wählen
Unregelmäßige
FDC
Regelmäßige
F
ully defined Comp.
P
artially defined
C
omponent
Ball Grid Array
Anwenderkommentar
eintragen
Anwenderkommentar
eintragen
Anwenderkommentar
eintragen
Anwenderkommentar
eintragen
GF-Nennmaße und
Toleranzwerte
GF-Nennmaße und
Toleranzwerte
GF-Nennmaße und
Toleranzwerte
GF-Nennmaße und
Toleranzwerte
KörperdimensionenKörperdimensionen Körperdimensionen
Bearbeitungsdaten
Pipettentyp (Kamera)
Sensorsystemtyp
Vakuumchecks / Bearbei-
tungsparameter / Redu-
zier. Beschleunigungen
Bearbeitungsdaten
Pipettentyp (Kamera)
Sensorsystemtyp
Vakuumchecks / Bearbei-
tungsparameter / Redu-
zier. Beschleunigungen
Bearbeitungsdaten
Pipettentyp (Kamera)
Sensorsystemtyp
Vakuumchecks / Bearbei-
tungsparameter / Redu-
zier. Beschleunigungen
Bearbeitungsdaten
Pipettentyp (Kamera)
Sensorsystemtyp
Vakuumchecks / Bearbei-
tungsparameter / Redu-
zier. Beschleunigungen
SICHERN
Fortsetzung der Programmierung an der Station
Beinchengruppen-,
Beinchenmodell-
daten programm.
Beinchengruppen-,
Beinchenmodell-
daten programm.
Ballraster-,
Ballmodelldaten
programm.
Neues Bauelement
GF-Datei
vorhanden?
Nein
Ja
Dateizusatzinformationen programmieren

W ,,W
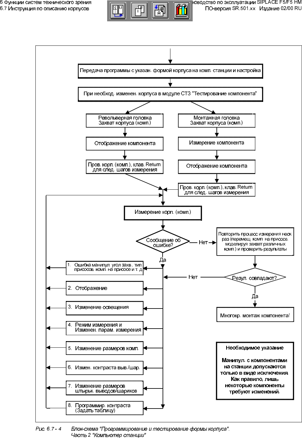
Programm und Rüstung mit dieser Gehäuseform an Station schicken und rüsten
Im „Visionsystem“ „BE testen“ GF nach Bedarf verändern
Revolverkopf
GF (BE) abholen
Pick & Place - Bestückkopf
GF (BE) abholen
BE darstellen BE messen
GF (BE) prüfen, Return für
für nächsten Meßschritt
BE darstellen
GF (BE) prüfen, Return für
nächsten Meßschritt
GF (BE) messen
Meßvorgang mehrmals wiederholen
(BE auf Pipette verschieben
simuliert Abholen verschiedener
BE) und Resultate prüfen
Immer gleich ?
Mehrmals bestücken !
Wichtiger Hinweis:
Das Manipulieren von
Bauelementen an der Station
muß die Ausnahme bleiben.
In der Regel müssen nur
wenige Bauelemente
verändert werden
8. Kontrast programmieren
(Tafel programmieren)
7. Pin/Ball-Dimensionen
verändern
6. Pin/Ball-Kontrast verändern
5. Bauteildimension verändern
4. Meßmodi und Meßparameter
verändern
3. Beleuchtung verändern
2. Bauelement darstellen
1. Hantierfehler: Abholwinkel,
Pipettentyp, BT an Pipette, etc.
Nein
Nein
Ja
Tritt Fehler-
meldung auf?
Ja

W ,,W
6,=(
52:
&251(5
/HDG
/HDG
*ULG
%DOO
3'& *)
∆X, ∆Y, (∆φ),
3'&
*) )
)'&
*) )
∆X, ∆Y, (∆φ),
)'&
*)
)
)
∆X, ∆Y, (∆φ),
)'&
*)
)
)
∆X, ∆Y, (∆φ),
)'&
**) )
∆X, ∆Y,
)'&
**) )
∆X, ∆Y,
)'&
** )
∆X, ∆Y, (∆φ)
)'&
* * )
∆X, ∆Y, (∆φ)
%*$
**)
∆X, ∆Y, (∆φ)