FX-1R FX-2_不间断使用说明.pdf - 第19页
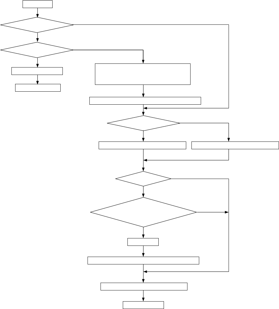
(3) 作业流程 信息显示 显示出错记录画面 前侧供料器台架有效吗? 不 请删除信息,按起动键 把吸附元件的供料器台架定为主侧 不(已全部打勾号) 不 是 后侧供料器台架有效吗? 不 显示信息:“程序更替尚未结束。请把 供料器台架设为有效” 不 机器成暂停状态 主供料器台架有效吗? 刚进行过程序更替? 设置项目中的“统一交换台”或“传 送带浮动”还未打勾号? 请删除信息,按起动键 从指定的供料器台架进行元件吸附 把吸附元件的供料器台架设…

4.机器工作
4-1. 生产开始时
(1) 主供料器台架有效的情况下,从主供料器台架进行元件吸附。
·在设置时若“统一交换台选项”或“传送带浮动选项”未设定为“使用”,则显示“设置数据中的
传送带浮动选项未使用。”或“设置数据中的统一交换台选项未使用。”这一信息。
当出现这一信息时,于以删除并按下操作盘开关的起动键,则开始生产。
注意 :
(2) 前侧的供料器台架无效而后侧的供料器台架在此之前有效的情况下
① 刚更替程序(生产程序切换)之后
画面上显示“程序更替尚未结束。请把供料器台架设为有效。”这一信息。
此状态下把前侧的供料器台架设为有效后,
删除信息,并按下操作盘开关的起动键,则如果前侧的
供料器台架是主供料器台架,就从前侧的供料器台架吸附元件;如果后侧的供料器台架是主供料器
台架,就从后侧的供料器台架吸附元件。
如果未把前侧的供料器台架设为有效就按起动键,则从后侧的供料器台架吸附元件。
② 以相同的生产程序开始生产
从后侧的供料器台架进行元件吸附。
·若主侧、副侧的供料器台架均处于无效,则机器显示错误记录画面,变为暂停状态。
注意 :
11

(3) 作业流程
信息显示
显示出错记录画面
前侧供料器台架有效吗?
不
请删除信息,按起动键
把吸附元件的供料器台架定为主侧
不(已全部打勾号)
不
是
后侧供料器台架有效吗?
不
显示信息:“程序更替尚未结束。请把
供料器台架设为有效”
不
机器成暂停状态
主供料器台架有效吗?
刚进行过程序更替?
设置项目中的“统一交换台”或“传
送带浮动”还未打勾号?
请删除信息,按起动键
从指定的供料器台架进行元件吸附
把吸附元件的供料器台架设为副侧
是
是(至少其中之一已打勾号)
是
生产作业开始
生产开始
是
12

4-2. 发生元件断档时
当某一侧供料器台架发生元件断档,则该侧的元件断档微型信号灯点亮,同时,显示供料器台架状
态的供料器台架开关的灯熄灭。
(1) 作业流程
是主供料器台架发生元件断档?
生产作业
副侧元件断档微型信号灯点亮
副侧供料器台架开关内的灯熄
生产作业
主侧元件断档微型信号灯点亮
不
主侧供料器台架开关内的灯熄灭
是副供料器台架发生元件断档?
是
不
是
13