FX-1R FX-2_不间断使用说明.pdf - 第21页
4-3. 供料器台架开关 在供料器台架正常地安装在机器上的情况下,每按一次开关,灯即反复点亮/熄灭(供料器台架 的有效/无效) 。 当生产进行中按下开关使供料器台架变为无效时, 从该供料器台架吸附元件的 动作并非立即停止,故请注意。 在供料器台架未正常地安装在机器上的情况下,即使按开关也无作用。 在操作选项中选择 JUKI标准模式后,灯始终保持点亮状态。因为这时开关已设为无效,即使按 下也不会熄灯。 (1) 作业流程 供料器…

4-2. 发生元件断档时
当某一侧供料器台架发生元件断档,则该侧的元件断档微型信号灯点亮,同时,显示供料器台架状
态的供料器台架开关的灯熄灭。
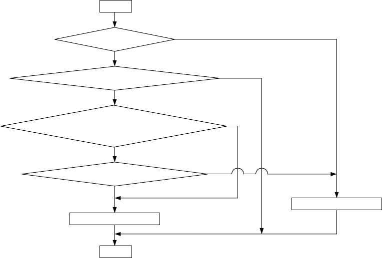
(1) 作业流程
是主供料器台架发生元件断档?
生产作业
副侧元件断档微型信号灯点亮
副侧供料器台架开关内的灯熄
生产作业
主侧元件断档微型信号灯点亮
不
主侧供料器台架开关内的灯熄灭
是副供料器台架发生元件断档?
是
不
是
13

4-3. 供料器台架开关
在供料器台架正常地安装在机器上的情况下,每按一次开关,灯即反复点亮/熄灭(供料器台架
的有效/无效)。当生产进行中按下开关使供料器台架变为无效时,从该供料器台架吸附元件的
动作并非立即停止,故请注意。
在供料器台架未正常地安装在机器上的情况下,即使按开关也无作用。
在操作选项中选择JUKI标准模式后,灯始终保持点亮状态。因为这时开关已设为无效,即使按
下也不会熄灯。
(1) 作业流程
供料器台架开关按了吗?
开始
结束
是 JUKI 标准模式吗?
是
供料器台架正常地安装在
机器上了吗?
灯亮着吗?
是
是
把灯熄灭
把灯点亮
不
不
是
不
不
14

5.操作员的操作
·操作是在机器运转当中进行的,所以要十分小心。
特别是在废弃元件时,头会横跨电路板移动,故请当心。
请注意,更换吸嘴时,无效的供料器侧的 ATC 有可能移动到贴装头。(从无效的供料器侧的 ATC 更换
吸嘴时,贴装头的速度为从 ATC 前面打开护罩时的速度。)
注意 :
5-1. 生产中想调换供料器台架时的操作
(1) 操作方法
① 先请确认要调换一侧的供料器台架已处于无效状态。
如处于有效状态,请按下该侧(前/后)的供料器台架开关,将灯熄灭(使供料器台架无效)。
② 请确认已从反向一侧的供料器台架吸附元件。
请确认,元件吸附和贴片已经至少各进行了一次。
③ 请从机器上拆下供料器台架。
④ 请把要换上的供料器台架装到机器上。
⑤ 如果装到机器上的供料器台架与电路板生产中的生产程序是相同的,则请按下开关使供料器台
架有效。
15