JM-100_FCS使用说明书.pdf - 第9页
FCS 使用说明书 1-1 第 1 章 FCS 概要 FCS 是“ 柔性校准系统( Fl exi ble C alibr ation Sys tem )”的简称, 作为 JM- 100 的 选项功能,用于保 持装置的贴装精 度。 通过定期实施 FCS ,可以保持 机器的贴装精度。 1-1 FCS 的概述和功能 FCS 由以 下功能组成。 • 调整贴装精度功能 (贴装精度确认功能) 通过 FCS 的功能, 对玻璃模具 基板 上 粘贴的硅胶…

FCS使用说明书
目
录
为了安全使用机器
第
1
章
FCS
概要
............................................................................................. 1-1
1-1 FCS的概述和功能 ................................................................................................ 1-1
1-2 FCS的运用 ........................................................................................................... 1-2
1-3 模具的准备 ........................................................................................................... 1-3
1-3-1 附属品的检查 ........................................................................................... 1-4
1-3-2 测定的准备 .............................................................................................. 1-6
第
2
章
操作说明
............................................................................................. 2-1
2-1 FCS的操作 ........................................................................................................... 2-1
2-1-1 FCS生产时的生产程序 ............................................................................ 2-2
2-1-2 FCS设置画面 ........................................................................................... 2-2
2-1-3 设定执行条件 ........................................................................................... 2-5
2-2 精度调整 ............................................................................................................... 2-7
2-2-1 开始偏移量测定 ....................................................................................... 2-7
2-2-2 XY偏移量取得用元件贴片 ....................................................................... 2-8
2-2-3 XY偏移量取得用元件识别 ....................................................................... 2-9
2-2-4 识别结果显示(激光) .......................................................................... 2-12
2-2-5 取得角度偏移量 ..................................................................................... 2-16
2-2-6 确认测量结果 ......................................................................................... 2-18
第
3
章
故障分析
............................................................................................. 3-1
3-1 各种具体情况下的修正和调整 .............................................................................. 3-1
3-1-1 精度调整的结果达不到判定值标准时(激光)........................................ 3-1
3-2 CPK规格值(参考) ............................................................................................ 3-1

FCS使用说明书
1-1
第
1
章
FCS
概要
FCS是“柔性校准系统(Flexible Calibration System)”的简称,作为JM-100的选项功能,用于保
持装置的贴装精度。
通过定期实施FCS,可以保持机器的贴装精度。
1-1 FCS 的概述和功能
FCS由以下功能组成。
•
调整贴装精度功能(贴装精度确认功能)
通过 FCS 的功能,对玻璃模具基板上粘贴的硅胶片,实施元件(0603C)的实际贴片,由贴片机自
己读取贴片位置,在自我诊断贴片位置偏移的同时,计算出可改善贴装精度的贴片控制参数。
控制贴装精度的参数称为“贴片综合偏移量”,有以下类型。
* 激光识别贴片

FCS使用说明书
1-2
1-2 FCS 的运用
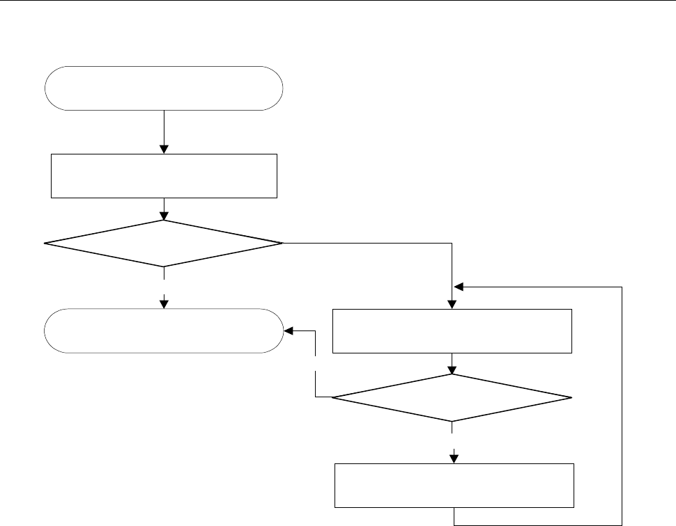
下图归纳了FCS的标准运用方法。
② 精度調整
START
END
① 精度確認
装着精度は判定値内か?
OK
装着精度は判定値内
か?
NG
当該ヘッドの保守の実施
NG
OK
图
1-1 FCS
运用图
* 取得偏移量后,必须利用精度调整功能再次重新取得机器的贴片综合偏移量。
• 在日常的运用中,利用“
①精度确认功能
”进行贴装取得X,Y,θ的偏移量,以确认贴装精度。
• 使用精度确认功能时,先启动[FCS画面],(利用当前的贴片综合偏移量)设置[XY贴片综合偏移
量]的[执行XY调整]或[角度贴片综合偏移量]的[执行角度调整],贴装0603 C元件、模具元件,以
测定元件的安装状态。
• 根据确认的结果判断贴装精度有变化时,利用“
②精度调整功能
”重新取得贴片综合偏移量。
• 如果重新取得贴片综合偏移量后,贴装精度仍达不到稳定的水准时,
应
对该贴片头实施维护,或者通过自动校准重新取得各种偏移量。
注
1:
有关该贴片头的维护,请咨询弊公司服务部门或者代理店。
对该贴片头实施维护
开始
① 确认精度
② 调整精度
结束
贴装精度为判定
贴 装精度为 判定值