KE-2070_80_80R_Instruction_Manual_Rev10_C.pdf - 第872页
第2部 功能详细篇 第1 2章 选项组件 12-35 12-9-8 错误处理 执行共面性检查时,出错后即显示对话框。 图 12-9-8-1 错误一览表画面 图 12-9-8-2 暂停画面

第2部 功能详细篇 第12章 选项组件
12-34
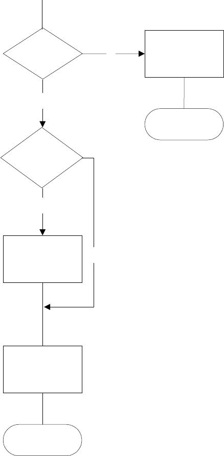
■ 共面装置的检查流程
START
是 BGA 吗?
共线性
检查(注 2)
共面性
检查(注 1)
是
是否单向引脚
插头?
共面性
检查(注 3)
否
END
END
注 1)BGA、FBGA 的共面检查,仅用最小平方平面法。
注 2)单向引脚插头不进行共线检查。
注 3)单向引脚插头的共面性检查与现状共线性检查相同。
图 12-9-7-2 处理流程(共面性检查的流程)
否
是

第2部 功能详细篇 第12章 选项组件
12-35
12-9-8 错误处理
执行共面性检查时,出错后即显示对话框。
图 12-9-8-1 错误一览表画面
图 12-9-8-2 暂停画面

第2部 功能详细篇 第12章 选项组件
12-36
12-9-9 共面性检查动作概要
执行共面检查时,轴的传感器上的实际动作如下所示。
12-9-9-1 统一测量元件
<12-9-3项(3)测量模式、元件尺寸>中所示的统一元件尺寸、
(标准模式:26mm×100mm以下、高精度模式:26mm×50mm以下)
进行“单向扫描测量
”。
图 12-9-9-1 统一测量动作图
12-9-9-2 分片测量元件
<12-9-3项(3)测量模式、元件尺寸>所示的分片元件的尺寸、
(标准模式:50mm×100mm以下、高精度模式:50mm×50mm以下)
“进行コ字形扫描测量
”。
图 12-9-9-2 分片测量动作图