KE-1070_80_Operation_Manual2_Rev01_C2.pdf - 第213页
操作手册 II 3-1 第 3 章 生产 3-1 概要 使用已制作的生产程序进行贴片确认和生产。 制作完新程序后,在实际生产前,有必要进行 试生产,以确认贴片坐标、吸取坐标等,对新 建的程序进行最终确认。 3-1-1 生产模式 在生产中,有以下 3 种生产模式。 No. 生产模式 内容□ 1 基板生产 是指定生产数量,实际生产基板的模式。 2 试打 是进行试生产的模式。 可选择吸取位置跟踪和贴片后的贴片位置跟踪。 ※1 3 空打 不使用…

操作手册Ⅱ
2-167
2-5-6 帮助
No.
帮助组 说明
1 帮助 起动帮助后,显示程序编辑帮助。
2 版本信息 显示关于程序编辑的信息。
图 2-5-49 版本示例
2-5-7 退出程序编辑
从菜单栏中单击「文件」/「退出」
。
图 2-5-50 退出程序编辑
如果程序中有所变更而尚未保存时,显示如下的确认。
图 2-5-51 结束时确认保存的对话框
●“是” :进行保存。保存后退出程序编辑。
●“否” :不进行保存而退出程序编辑。
●“取消 ”:取消退出处理。

操作手册 II
3-1
第 3 章 生产
3-1 概要
使用已制作的生产程序进行贴片确认和生产。
制作完新程序后,在实际生产前,有必要进行试生产,以确认贴片坐标、吸取坐标等,对新
建的程序进行最终确认。
3-1-1 生产模式
在生产中,有以下 3 种生产模式。
No. 生产模式 内容□
1 基板生产 是指定生产数量,实际生产基板的模式。
2 试打 是进行试生产的模式。
可选择吸取位置跟踪和贴片后的贴片位置跟踪。
※1
3 空打 不使用元件而确认吸取贴片动作的模式。
可进行吸取位置跟踪和贴片位置跟踪。
※1※1
※1:参见《操作手册 II》的“2-5-4-4 确认”。
基板的生产、试打、空打中,可分别设定生产条件、试打条件及空打条件。

操作手册 II
3-2
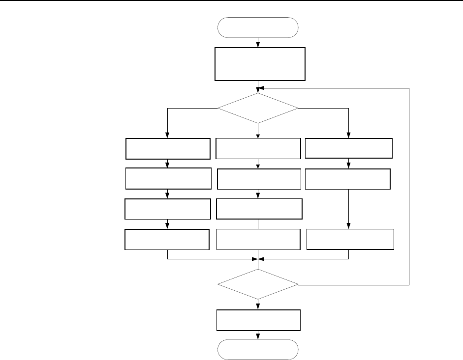
3-1-2 生产流程
START
生産条件を
選択して起動
終了
生産条件?
生産条件設定
部品数設定
基板生産 空打
空打条件設定試打条件設定
部品数設定
試打
終了か?
実行モード指定
END
空打試打
基板生産
N
Y
実行モード指定 実行モード指定
图3-1-1 生产流程示意
选择生产条件
并启动
设定生产条件
设定空打条件
指定运行模式
指定运行模式
试打
空打
设定试打条件
设定元件数
设定元件数
试打
基板生产
空打
结束?
结束
指定运行模式
生产条件
?