KE2020-Instruction-Manual-ver1.30.pdf - 第586页
7 − 140 7.7.3.5 O perations 7.7.3.5. 1 SOT directi on independent i nspection operati on 7.7.3.5. 2 SOT directi on independent inspection component selecting dialog box W hen y ou select the [ Tool] com mand f rom t he m…

7 − 139
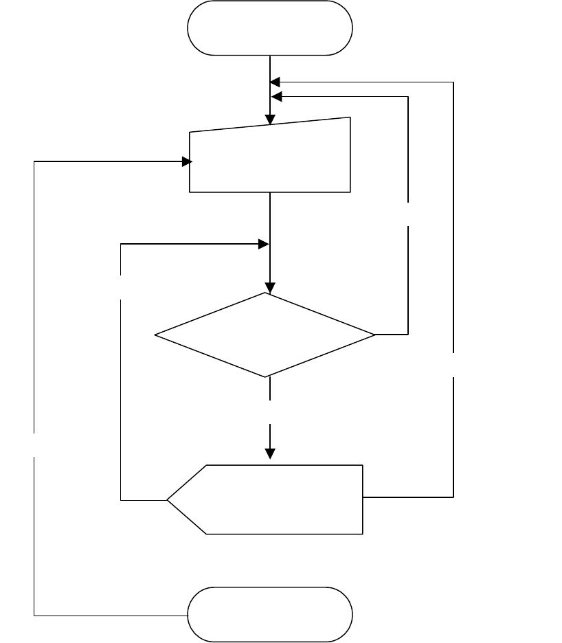
Figure 7.7.3.4.2 SOT direction continuous inspection sequence
START
Select a component to
be checked
(on the dialog box).
END
Display a dialog box
during indicting execution
of inspection or the result.
No
Check the next component
.
Suspending of a check
Check to see if there
is a component to be
checked.
Yes
End

7 − 140
7.7.3.5 Operations
7.7.3.5.1 SOT direction independent inspection operation
7.7.3.5.2 SOT direction independent inspection component selecting dialog
box
When you select the [Tool] command from the menu bar, the [Check] command o
the “Tool” menu, and the [SOT direction independent inspection] command on the
Production menu, the following dialog box appears on the screen. In the “No.:
Name” combo box, 3-terminal SOT components are listed so that you can select
any one to be checked.
Figure 7.7.3.5.1 SOT direction independent inspection component selecting
dialog box
7.7.3.5.3 SOT direction independent inspection dialog box
When you click the <Insp.> button on the dialog box shown in Figure 7.7.3.5.1, the
following dialog box appears on the screen.

7 − 141
Figure 7.7.3.5.2 SOT direction independent inspection dialog box
− Component of inspection
Data on a component selected to be checked appears here.
− Pickup position
Data on the component pick-up position appears here. You can change the
pick-up position to that of the previous alternate component or the next
alternate component also.
① <Feed> button
When you click this button, the system knocks a feeder once to feed a
component (not available with a 32-mm paper tape).
② “Update pick data with new coordinates”
Check this check box if you want to store the result of teaching operation
by the HOD device onto Pick data. Otherwise, the specified coordinates
are applied to the current pick-up position only.
− Result of SOT direction inspection
After checking a component, the recognized component direction is displayed
as the check result, OK or NG. If the system failed to recognize the image of
a component, a check error is displayed here.
− Shortcut keys
On the SOT independent inspection screen, the following shortcut keys are
available.
Table 7.7.3.5.1 Shortcut keys
Keyboard Operation panel HOD key Action
F10 ENTER Executes an independent inspection.
F4 Knocks a feeder.
F5 PREVIOUS Previous alternate component
F6 NEXT Next alternate component
ESC CANCEL Returns to the previous screen.
7.7.3.5.4 “Under the SOT direction independent inspection…” dialog box
When you click the <Insp.> button on the dialog box shown in Figure 7.7.3.5.4, the
following dialog box appears on the screen.
Figure 7.7.3.5.4 “Under the SOT direction independent inspection…” dialog box
− Component of inspection
Displays the data on a component that the system is checking and the system
current operation here.