FX-3操作手册(程序员,管理员).pdf - 第218页
操作手册Ⅱ Rev00 3-3 3-2 生产画面 3-2-1 生产画面的启动 在主画面上选择 “生产” - “基板生产” , 或功能栏的“基 板生产”, 则会显示如下的生产条 件设置画面。 请指定生产条件(参见“3-2-2 生产条件画面”)。 图 3-2-1-1 生产画面

操作手册Ⅱ Rev00
3-2
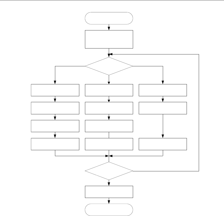
3-1-2 生产流程
START
生産条件を
選択して起動
終了
生産条件?
生産条件設定
部品数設定
基板生産 空打
空打条件設定試打条件設定
部品数設定
試打
終了か?
実行モード指定
END
空打試打
基板生産
N
Y
実行モード指定 実行モード指定
图 3-1-2-1 生产概略流程
START
选择生产条件
并起动
设置试打条件 设置生产条件 设置空打条件
指定运行模式 指定运行模式
试打
空打
设置元件数 设置元件数
试打 基板生产 空打
结束?
结束
END
N
Y
指定运行模式
生产条件?
生产基板

操作手册Ⅱ Rev00
3-3
3-2 生产画面
3-2-1 生产画面的启动
在主画面上选择“生产”-“基板生产”,或功能栏的“基板生产”,则会显示如下的生产条
件设置画面。
请指定生产条件(参见“3-2-2 生产条件画面”)。
图 3-2-1-1 生产画面

操作手册Ⅱ Rev00
3-4
3-2-2 生产条件画面
启动生产后,会显示设置生产条件的画面。
在“基板生产”、“试打”、“空打”各种生产模式上,分别设定各自的生产条件。
● 设置个别项目:选择“基板生产”、“试打”、“空打”,设置具体条件。
● 设置共同项目:与“基板生产”、“试打”、“空打”模式无关,均为共同项目。
图 3-2-2-1 设置基板生产条件