JX-350_FCS使用说明书.pdf - 第9页
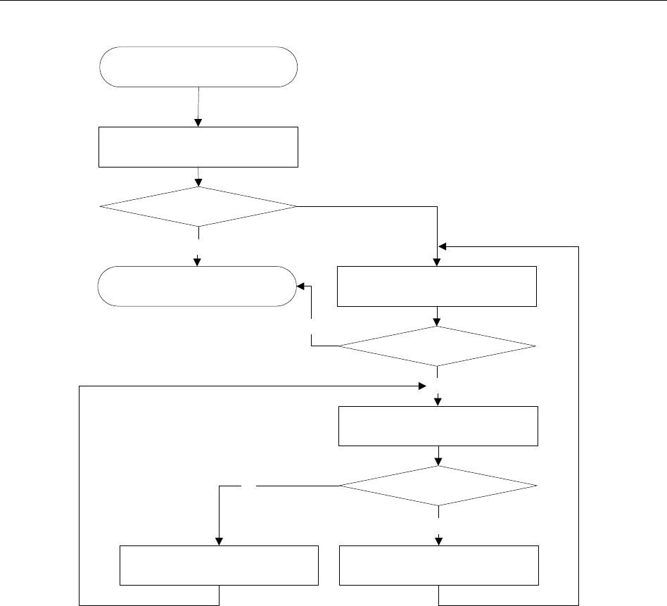
FCS 使用说明书 2 1-2 FCS 的运用 下图归纳了 FCS 的标准运用方法。 ②(再取得OCC偏移量后) 调整精度 开始 结束 `①确认精度 贴装精度为判定值内? OK 贴装精度为判定值内? NG ③诊断(偏芯量) 判定? 检查调整吸嘴外轴位置 是否对准划线。 NG ④基本偏移量调整 NG OK OK * 取得偏移量后,必须利用精度调整功能再次重新取得机器的贴片综合偏移量。 图 1-1 FC S 运用图 在日常的运用中,利用…

FCS使用说明书
1
第1章 FCS 概要
FCS是“柔性校准系统(Flexible Calibration System)”的简称,作为JX-350的选项功能,用于保持装
置的贴装精度。
通过定期实施FCS,可以保持机器的贴装精度。
1-1 FCS 的概述和功能
FCS由以下功能组成。
确认贴装精度功能
使用 FCS 功能,贴装
模具元件,由贴片机自身读取贴装位置,自诊断贴装精度好坏。
因对安装精度的调整,判断有无必要在先,执行调整在后,节约工时,利于维护。
调整贴装精度功能
使用 FCS 功能,贴装模具元件,由贴片机读取贴装位置,自诊断贴装偏移量,计算出改善贴装精
度的控制参数。
控制贴装精度的参数称为“贴片综合偏移量”,有以下类型。
* 激光识别贴片
诊断功能
当利用贴装精度调整功能进行了调整后仍不能满足贴装精度时,本功能可帮助你找出原因。
基本偏移量调整功能
不需要日常调整,对与贴装精度相关的控制参数进行调整。
可调整下列偏移量。
* OCC偏移量
* 吸嘴旋转中心偏移量
* Head偏移量(每个Head都具有参数)

FCS使用说明书
2
1-2 FCS 的运用
下图归纳了FCS的标准运用方法。
②(再取得OCC偏移量后)
调整精度
开始
结束
`①确认精度
贴装精度为判定值内?
OK
贴装精度为判定值内?
NG
③诊断(偏芯量)
判定?
检查调整吸嘴外轴位置
是否对准划线。
NG
④基本偏移量调整
NG
OK
OK
* 取得偏移量后,必须利用精度调整功能再次重新取得机器的贴片综合偏移量。
图1-1 FCS运用图
在日常的运用中,利用“①精度确认功能”进行贴装取得X,Y,θ的偏移量,以确认贴装精度。
使用精度确认功能时,先启动[FCS画面],(利用当前的贴片综合偏移量)设置[XY贴片综合偏移
量]的[执行XY调整]或[角度贴片综合偏移量]的[执行角度调整],贴装模具元件以测定元件的安装状
态。
根据确认的结果判断贴装精度有变化时,利用“②精度调整功能”重新取得贴片综合偏移量。
如果重新取得贴片综合偏移量后,贴装精度仍达不到稳定的水准时,
通过“③诊断功能”对机器进行诊断,
根据其结果对该贴片头实施维护,或者
通过“④基本偏移量调整功能” 重新取得各种偏移量。
注
1
:
特别是
OCC
偏移量,在日常的运用中装配角度的误差不会增大。但由于
OCC
偏移量的误差不
能用
FCS
功能检测,所以如果重视贴片角度的调整时,建议在实施
FCS
之前重新取得
OCC
偏
移量。
其他具体请参见
“3.
故障分析
”
。
注
2:
有关该贴片头的维护,请咨询弊公司服务部门或者代理店。
对该贴片头实施维护
①确认精度

FCS使用说明书
3
1-3 模具的准备
在FCS生产中,将元件贴装到模具基板上,用OCC识别元件,根据对范围基准标记及元件识别结果
之偏移量,计算出贴片综合偏移量。
这里讲解一下有关对FCS选购件之附属品的检查,模具基板的准备,以及使用模具方面的注意事项。
实施FCS时,除了1.3.1.中记载的附属品之外还需要其他部件,需要时请另行购买。
表1-1 实施FCS所需的部件
品名 数量 货号
吸嘴组件508C 1个
40044239
LNC模具吸嘴 1个
40046647
1-3-1 附属品的检查
请确认FCS手提箱内装有下列的零件。
表1-2 FCS手提箱内的零件
No
品名 数量 货号
1
模具基板 1 张
40027209
2
模具吸嘴 1 个
E2101998000
3
吸嘴组件 506 1 个
40001344
4
硅片 96 片装
40027147
5
镜片布 1 张
40027235
6
维修带 1 巻
40027198
7
塑料盒 1 箱
40027316
图1-2 FCS手提箱内的配置图
①
⑦
⑥ ⑤
③
②
④