NPM操作.pdf - 第39页
十,设备回原点 按住 “ ENABLING ” 键的 同时,按 “ 开始 ” 键,设 备进行原点复归

1
2
点击此按钮,进入
工程师模式
输入工程师密码,
初始密码为空。
九、设备主菜单。

十,设备回原点
按住“ENABLING”键的
同时,按“开始”键,设
备进行原点复归

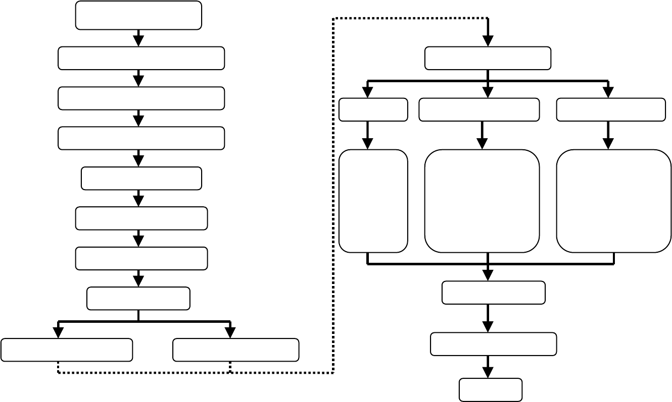
十一、机种的切换。
机种切换的基本流程:
Data check
安装生产用的原料
安装生产用的吸嘴
安装生产用的支撑销
流板测试
吸着位置的示教
元件库的示教
Mark的示教
PCB Mark的示教 Bad Mark的示教
贴装位置的示教
MOUNT MOUNT/BLOCK
图形
对每个贴
装位置进
行单独的
示教,示
教结果会
直接修改
坐标。
对每个贴装位置进
行单独的示教,示
教结果会直接修改
坐标,对于拼版,
能对应修改基准图
形上的相应坐标。
将图形进行偏移量
的示教,示教结果
能修改程序
OFFSET值和MARK
坐标。
测试贴装样板
初始化生产信息
量产