RX-6_FCS使用说明书.pdf - 第9页
FCS 使用说明书 第 1 章 FCS 概要 FCS 是“柔性校准系统( Flexible Calibration System )”的简称,作为 RX-6 的选项功能,用于保持 装置的贴装精度。 通过定期实施 FCS ,可以保持机器的贴装精度。 1-1 FCS 的概述和功能 FCS 由以下功能组成。 • 调整贴装精度功能(贴装精度确认功能 ) 通过 FCS 的功能,对玻璃模具基板上粘贴的硅胶片,实施元件 (0603C) 的实际贴片,或…
FCS使用说明书
为了安全使用机器
目录
第1章 FCS概要 .................................................................................................................................... 1
1-1 FCS的概述和功能 ............................................................................................................................ 1
1-2 FCS的运用 ......................................................................................................................................... 2
1-3 模具的准备 ........................................................................................................................................ 3
1-3-1 附属品的检查 .................................................................................................................... 3
1-3-2 测定的准备 ........................................................................................................................ 5
第2章 操作说明 .................................................................................................................................. 10
2-1 FCS的操作 ....................................................................................................................................... 10
2-1-1 FCS生产时的生产程序 ................................................................................................. 11
2-1-2 FCS设置画面 .................................................................................................................. 12
2-1-3 设定执行条件 .................................................................................................................. 15
2-2 精度调整.......................................................................................................................................... 20
2-2-1 开始偏移量测定 .............................................................................................................. 20
2-2-2 测定视图贴片综合偏移量 ............................................................................................ 22
2-2-3 XY偏移量取得用元件贴片 ............................................................................................ 22
2-2-4 XY偏移量取得用元件识别 ............................................................................................ 23
2-2-5 识别结果显示(激光) ................................................................................................. 26
2-2-6 识别结果显示(视图) ................................................................................................. 29
2-2-7 取得角度偏移量 .............................................................................................................. 33
2-2-8 确认测量结果 .................................................................................................................. 35
第3章 故障分析 .................................................................................................................................. 36
3-1 各种具体情况下的修正和调整 ................................................................................................. 36
3-1-1 贴片结果异常警报 ......................................................................................................... 36
3-1-2 精度调整的结果达不到判定值标准时(激光) ..................................................... 36
3-1-3 偏芯量大 ........................................................................................................................... 36
3-2 基本偏移量调整 ........................................................................................................................... 37
3-2-1 OCC偏移量 ..................................................................................................................... 41
3-2-2 吸嘴旋转中心偏移量 ..................................................................................................... 43
3-2-3 HEAD偏移量 ................................................................................................................... 44
3-3 CPK规格值(参考) .................................................................................................................. 45

FCS使用说明书
第 1 章 FCS概要
FCS是“柔性校准系统(Flexible Calibration System)”的简称,作为RX-6的选项功能,用于保持
装置的贴装精度。
通过定期实施FCS,可以保持机器的贴装精度。
1-1 FCS的概述和功能
FCS由以下功能组成。
• 调整贴装精度功能(贴装精度确认功能)
通过 FCS 的功能,对玻璃模具基板上粘贴的硅胶片,实施元件(0603C)的实际贴片,或 FCS 模
具芯片 B 的贴片,由贴片机自己读取贴片位置,在自我校准贴片位置偏移的同时,计算出可改善
贴装精度的贴片控制参数。
控制贴装精度的参数称为“贴片综合偏移量”,有以下类型。
* 激光识别贴片
* VCS 识别贴片
* 选项 VCS 贴片
• 基本偏移量调整功能
不需要日常调整,对与贴装精度相关的控制参数进行调整。
可调整下列偏移量。
* OCC偏移量
* 吸嘴旋转中心偏移量
* Head偏移量(每个Head都具有参数)
1

FCS使用说明书
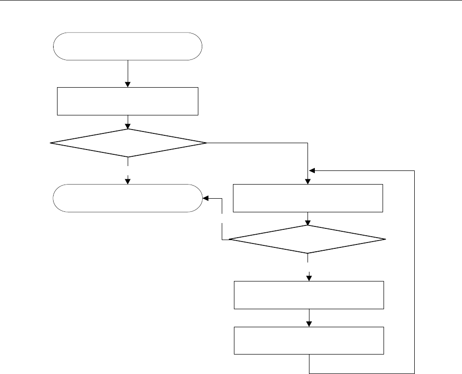
1-2 FCS的运用
下图归纳了FCS的标准运用方法。
② (OCC オフセット再取得後)
精度調整
START
END
① 精度確認
装着精度は判定値内か?
OK
装着精度は判定値内か?
NG
当
开始
①确认精度
該ヘッドの保守の実施
③基本オフセット調整
NG
OK
贴装精度为判定值内?
结束
②(再取得OCC偏移量后)
贴装精度为判定值内?
对该贴片头实施维护
③基本偏移量调整
* 取得偏移量后,必须利用精度调整功能再次重新取得机器的贴片综合偏移量。
图1-1 FCS运用图
• 在日常的运用中,利用“①精度确认功能”进行贴装取得X,Y,θ的偏移量,以确认贴装精度。
• 使用精度确认功能时,先启动[FCS画面],(利用当前的贴片综合偏移量)设置[XY贴片综合偏移
量]的[执行XY调整]或[角度贴片综合偏移量]的[执行角度调整],贴装0603 C元件、模具元件,以
测定元件的安装状态。
• 根据确认的结果判断贴装精度有变化时,利用“②精度调整功能”重新取得贴片综合偏移量。
• 如果重新取得贴片综合偏移量后,贴装精度仍达不到稳定的水准时,
应
对该贴片头实施维护,或者通过“③基本偏移量调整功能” 重新取得各种偏移量。
注
1
:
特别是
OCC
偏移量,在日常的运用中装配角度的误差不会增大。但由于
OCC
偏移量的误差不
能用
FCS
功能检测,所以如果重视贴片角度的调整时,建议在实施
FCS
之前重新取得
OCC
偏
移量。
其他具体请参见
“3.
故障分析
”
。
注
2:
有关该贴片头的维护,请咨询弊公司服务部门或者代理店。
2