KE2040 Instruction Manual_ver1.30.pdf - 第305页
4 – 203 (4) W hen continuous m easurement f inishes W hen the system finishes measur ing all component s which satisfy the specif ied conditions, the f ollowing dialog box appears on the scr een. Figure 4.12.2. 4.3.7 “In…

4 – 202
3) <OK/NEXT> button (<START> button)
This button validates the result of measurement, then saves the measured
values into Component data. Then, the system starts measuring the next
component.
4) <STOP> button (ESC key)
This button cancels the result of measurement, then stops the current
continuous measurement operation to return to the previous “Continuous
component hight measurement” dialog box.
5) <MEAS.> button (F7 key)
This button allows the system to enter Single Measurement mode.
6) Short-cut keys
On the “Result of continuation measurement” dialog box, the following
short-cut keys are provided.
Keyboard
key
Operation
panel key
HOD key Operation
START Validates the result, then measures the next
component.
ESC STOP Aborts the continuous measurement
operation.
F7 Enters Single Measurement mode.
7) If a measurement error occurs
If a measurement error occurs for any reason, the following dialog box
appears on the screen to allow you to enter Single Measurement mode.
Figure 4.12.2.4.3.6 Continuous measurement error dialog box

4 – 203
(4) When continuous measurement finishes
When the system finishes measuring all components which satisfy the specified
conditions, the following dialog box appears on the screen.
Figure 4.12.2.4.3.7 “Information” - End of continuous measurement dialog box

4 – 204
4.12.3 Checking a component with vision recognition
This check attaches a component to a head actually to check to see if a component
can be centered with the vision recognition function.
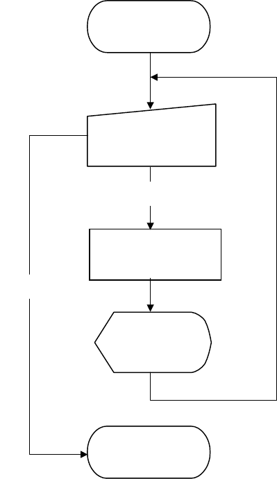
4.12.3.1 Checking a component with vision recognition
The operation flow for checking a component with the vision recognition function is
shown below.
Figure 4.12.3.1.1 Operation flow for checking a component with vision recognition
in Single check mode
4.12.3.2 Methods for checking a component with vision recognition
The system exercises a series of controls over the vision centering function according
to the settings of Component data, and checks to see if no error occurs.
Execution of check
(on the dialog box)
Start of check with
vision recognition
Check
Check with vision
recognition
Display of the
result (on the
dialog box)
End of check with
vision recognition
End