JX-350说明书.pdf - 第341页
第 1 部 基 本篇 第 3 章 维护 3-48 b- 负压 XP la r a il 真空 泵 弯头 直通 接 头 直 通接头 直通 接 头 直 通接头 Y P la r ail Y P la r a il XP lar a il 弯头 L侧 H EAD R侧 X Plarail 出口 X Plarail 出口 弯头 弯头 检查 阀 消音 器 减压 器 插头φ 6 阳 螺纹接 头 负压 计 Y形三通接头 Y形三通接头 Y形三通接头 弯…

第 1 部 基本篇 第 3 章 维护
3-47
3-9 管道系统图
(1)管道系统图(主机)
a-(正气压)
工厂气压
插头
指状阀
气源处理联件
多支管
减压器
减压器
减压器
插头φ8
正压计
Y三通接头
Head上升气缸
异形接头
调压器
异形接头
HEAD 正压
传送电磁阀
插头φ4
减压弯头
减压弯头
插头φ8
插头φ8
插头φ8
Y三通接头
MTS_IF面板
驱动气缸
前侧
Y三通接头
Y三通接头
台架升降机(OP)
切带器(OP)
Y三通接头
Y三通接头
【OUT】
【IN】
直通接头
直通接头
直通接头
直通接头
XP l a rai l
XP l a rai l
YPlarail
YPlarail
Y三通接头
ATC
CAL
减压弯头
车间推车气压
前侧
车间推车气压
后侧
驱动气缸
后侧
(OP)
(OP)

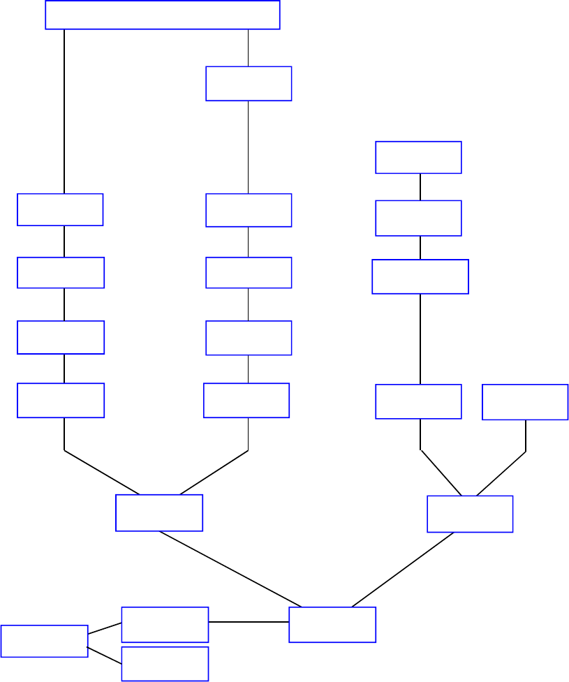
第 1 部 基本篇 第 3 章 维护
3-48
b-负压
XPlarail
真空泵
弯头
直通接头
直通接头
直通接头
直通接头
YPlarail Y Plarail
XPlarail
弯头
L侧 HEAD R侧
XPlarail出口 XPlarail出口
弯头
弯头
检查阀
消音器
减压器
插头φ6
阳螺纹接头
负压计
Y形三通接头
Y形三通接头
Y形三通接头
弯头
插头

第 1 部 基本篇 第 3 章 维护
3-49
(2) 管道系统图(Head)
第6排 第1排
吸嘴
开放大气
过滤器
压力
传感器
V:来自负压(φ8)真空泵 V:来自负压(φ8)真空泵
P:来自正压(φ6)多支管
P:来自正压(φ6)空气单元
检查阀
气缸 气缸
气缸