KE-2070_2080_InstructionManual_C_Rev01.pdf - 第106页
第1部 基本篇 第2章 生产 2-4 2-2-3 生产主菜单的构成 主菜单 下拉式菜单 子菜单 内容 1 打开 读入生产程序文件。 参见程序编辑中的“打开” 2 保存 覆盖保存编辑过的生产程序。 参见程序编辑中 的“保存” 3 另存为 改变程序的文件名后另存为。 参见程序编辑中 的“另存为” 4 删除继续生产文 件 删除含有继续生产文件的生产程序中的继续 生产文件。 5 设备信息的取得 取得设备信息,保存在文件中 1 文件 6 结束应用…

第1部 基本篇 第2章 生产
2-3
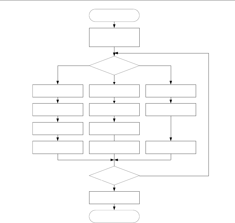
2-2-2 生产流程
START
生産条件を
選択して起動
終了
生産条件?
生産条件設定
部品数設定
基板生産 空打
空打条件設定試打条件設定
部品数設定
試打
終了か?
実行モード指定
END
空打試打
基板生産
N
Y
実行モード指定 実行モード指定
图 2.2.2.1 生产流程示意
START
选择生产条件
并起动
设置试打条件 设置生产条件 设置空打条件
指定运行模式 指定运行模式
试打
空打
设置元件数 设置元件数
试打 基板生产 空打
结束?
结束
END
N
Y
指定运行模式
生产条件?
生产基板

第1部 基本篇 第2章 生产
2-4
2-2-3 生产主菜单的构成
主菜单 下拉式菜单 子菜单 内容
1 打开
读入生产程序文件。
参见程序编辑中的“打开”
2 保存
覆盖保存编辑过的生产程序。参见程序编辑中
的“保存”
3 另存为
改变程序的文件名后另存为。参见程序编辑中
的“另存为”
4 删除继续生产文
件
删除含有继续生产文件的生产程序中的继续
生产文件。
5 设备信息的取得
取得设备信息,保存在文件中
1 文件
6 结束应用程序
结束生产。
1 工具栏
切换工具栏的显示/不显示。
2 显示
2 状态栏
切换状态栏的显示/不显示。
1 生产条件画面
显示生产启动画面。
显示基板生产条件、试打条件、空打条件、操
作选项中设置的内容。
并设置通用设定项目、基板生产运行时、试打
运行时、空打运行时的条件。
1 生产设备状态
显示生产开始时的画面。显示生产运行中的设
备状态。
2 生产状态
2 生产状态
显示生产开始时的画面。显示生产运行中的数
据(步骤 No.等)。
1 合计 显示生产程序固有的存储数据。
2 前面 显示每一前面吸取位置的存储数据(吸取数量
等)。
3 后面 显示每一后面吸取位置的存储数据。
4 托架 显示每一层托架的存储数据。
5 MTC 显示每一层 MTC 的存储数据。
6 MTS 显示每一层 MTS 的存储数据。
7 吸取率 显示所有吸取装置的吸取位置,或按升序显示
每一层的吸取率。
3 生产管理信息
8 清除 将已存储的生产管理信息全部清除。
4 生产信息
显示生产运行中的数据(总实装率等)。
3 窗口
5 传送·I/O 状态
显示传送路线的传感器状态及 I/O 状态。
生产空转时,也进行搬运动作。

第1部 基本篇 第2章 生产
2-5
1 生产程序检查
在生产运行前,进行生产程序的检查。
2 贴片跟踪
在生产运行前显示生产程序的贴片点一览,进行
贴片点的追踪,确认元件的贴片。
4 生产支援
3 简易准备
进行生产开始前的准备操作。
5 1 设定元件数
显示元件数量设定画面。
对各吸取数据进行元件数量的设定。
2 操作选项
显示操作选项画面
对生产中的运作进行设定等。
3 数据变更
一部分元件数据可变更。
4 自动基板宽度调
整
显示自动基板宽度调整画面。
1 未贴片列表 显示未贴片列表画面 5 重试列表
2 供给装置信息 显示供给装置信息画面。
1 单独验证
2 连续验证
3 SOT 单独检查
4 SOT 连续检查
能够执行验证·SOT 检查。
5
激光高度检查
可执行激光高度检查。
工具
6 检查
6
VCS 脏污检查
可执行 VCS 脏污检查。
6 帮助 1 KE-2000
帮助
显示 KE-2000 的帮助。