KE-2070_2080_InstructionManual_C_Rev01.pdf - 第822页
第2部 功能详细篇 第1 2章 选项元件 12-33 ■ 共面装置的检查流程 START 是 BGA 吗? 共线性 检查(注 2) 共面性 检查(注 1) 是 是否单向引脚 连接器? 共面性 检查(注 3) 否 END EN 注 1)BGA、 FBGA 的共面检查,仅用最小平方 平面法。 注 2)单向引脚 连接器不进行共线检 查。 注 3)单向引脚 连接器的共面性检查 与现状共线性检查 相同。 图 12-9-7-2 处理流程(共面性检查…

第2部 功能详细篇 第12章 选项元件
12-32
12-9-7 生产
在基板生产、试打、空打时执行共面性检查。
☆ 空打时不执行实际检查。
12-9-7-1 共面检查步骤
① 吸取对象元件
② 向VCS位置移动
③ 用VCS进行图像识别
④ 移动到共面传感器计量开始位置
⑤ 检查是否为共面检查可执行元件
⑥ 根据图像识别结果进行位置修正
⑦ 元件的共面检查
⑧ 根据共面检测传感器计量结果判断合格与否
[合格与否判断后的处理]
⑧_1 元件废弃
⑧_2 元件贴片
⑧_3 暂停
图 12-9-7-1 处理流程
吸取对象元件
向 VCS 位置移动
用 VCS 进行图像识别
向共面传感器位置移动
元件检查
①
②
③
④
⑤
⑥
⑦
⑧
L
共面性检查
合格与否
结束
元件位置修正
请参照下页的“图 12-9-7-2 处
理流程(共面性检查的流程)”

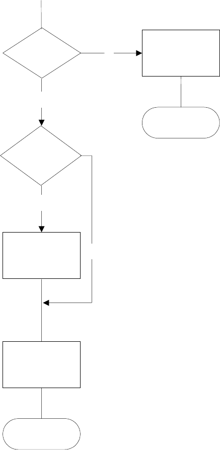
第2部 功能详细篇 第12章 选项元件
12-33
■ 共面装置的检查流程
START
是 BGA 吗?
共线性
检查(注 2)
共面性
检查(注 1)
是
是否单向引脚
连接器?
共面性
检查(注 3)
否
END
EN
注 1)BGA、FBGA 的共面检查,仅用最小平方平面法。
注 2)单向引脚连接器不进行共线检查。
注 3)单向引脚连接器的共面性检查与现状共线性检查相同。
图 12-9-7-2 处理流程(共面性检查的流程)
否
是

第2部 功能详细篇 第12章 选项元件
12-34
12-9-8 错误处理
执行共面性检查时,出错后即显示对话框。
图 12-9-8-1 错误一览表画面
图 12-9-8-2 暂停画面