TRS GEM Manual for Intel Ver 1.1.pdf - 第22页
GEM Manual for DEK Pr inters Capabilities Issue 1.1 March 20th, 2014 Page 22 of 152 Page 22 of 152 Scenarios (continued): Simultaneous attempts to establish communications: Comm ents Host Equipment Comm ents Host tries t…

GEM Manual for DEK Printers Capabilities
Issue 1.1 March 20th, 2014 Page 21 of 152 Page 21 of 152
Transition Table (continued):
#
Current State
Trigger
New State
Action
Comment
10
Any entry to Host
Initiated Connect
Any entry to Not
Communicating.
Wait CR from Host.
None
Wait for S1F13
from Host.
11
Wait CR from Host
Received S1F13.
Wait Tx Complete.
Send S1F14 with
COMMACK = 0.
Host seeks to
establish comms.
12
Wait Tx Complete
S1F14 transmission
failed.
Wait CR from Host.
None
Wait for S1F13
from Host.
13
Wait Tx Complete
S1F14 transmission
completely successful.
Communicating.
None
Communications
are established.
14
Communicating
Communications failure.
Not Communicating.
Dequeue all
messages queued to
send.
Dequeued
messages may be
placed in spool
buffer as
appropriate.
Scenarios:
The following scenarios describe the SECS II activity associated with the Establish
Communication capability.
Host attempts to establish communications:
Comments
Host
Equipment
Comments
Establish Communications Request
S1F13 -->
<-- S1F14
Communications state is enabled.
(any sub-state)
Reply COMMACK = Accept and
Communications state = COMMUNICATING.
Equipment attempts to establish communications:
Comments
Host
Equipment
Comments
Reply COMMACK = Accept
S1F14 -->
<-- S1F13
Communications state is enabled
(any sub-state).
Communications state = COMMUNICATING.
Establish Communications Request.
Communications state = COMMUNICATING.

GEM Manual for DEK Printers Capabilities
Issue 1.1 March 20th, 2014 Page 22 of 152 Page 22 of 152
Scenarios (continued):
Simultaneous attempts to establish communications:
Comments
Host
Equipment
Comments
Host tries to establish
communications at same time.
S1F13 -->
S1F14 -->
<-- S1F13
<-- S1F14
[while] CRA not received send and wait.
[exit while]
Communicating state.
Host should reply anyway to avoid timeout.
State is still communicating.
5.1.2 GEM communication Status
Printer module displays ‘Host Comms’ status on main screen. When GEM connection status
changed on printer, new status updated on main screen. Current status options are Disabled/
Enabled-No Comm/ Enabled-Comm.
When COMMS PROTOCOL preference value is set to NO COMMS.
Host Comms status will be “Disabled”.
When COMMS PROTOCOL preference value is set to GEM:
When No GEM enabled on printer:
Host Comms status will be “Disabled”.
When GEM enabled on printer:
When no communication established
Host Comms status will be “Enabled No Comm”
When Communication established with EQUIPMENT CONTROL “Equip Off-Line”.
Host Comms status will be “Enabled Off-Line”
When Communication established with EQUIPMENT CONTROL “Equip On-Line”.
When ON-LINE CONTROL set to LOCAL
Host Comms status will be “Enabled On-line Local”
When ON-LINE CONTROL set to REMOTE
Host Comms status will be “Enabled On-line Remote”

GEM Manual for DEK Printers Capabilities
Issue 1.1 March 20th, 2014 Page 23 of 152 Page 23 of 152
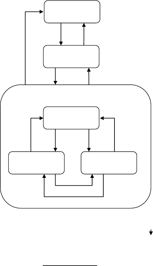
Communicating
Enabled –
Online Local
Enabled –
Online Remote
Disabled
Enabled – No
Comm
Enabled –
Offline
5.2 Data Collection
5.2.1 Event Reports
This capability enables the host to receive machine variable data when specific events
occur within the equipment. The host can control which events will cause a report to be
sent and which data items to include in a report (dynamic event configuration).
In addition, the operator can control which specific events are to be written to the
equipment’s local event log. The operator can also view the events enabled by the host.
Appendix B shows the operator procedures to achieve this.
The following outlines the steps that must be taken by the host system in order to cause
an event report to be sent. See chapter 5 for details of SECS II messages referred to as
SxxFxx.
The Host defines unique report with it’s own id. RPTID using S2F33. A report
includes one or more machine variables.
The Host links one or more reports to a collection event CEID using S2F35.
The Host enables collection event CEID with S2F37.