NM-8224A,B,C PARTS LIST(EC TYPE)_.pdf - 第258页
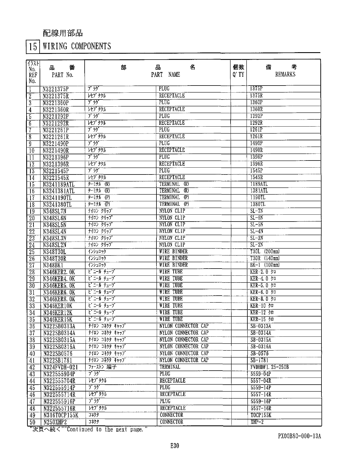
配線用部品 15 ] WIRING COMPONENTS PX 00 B 80 - 000 - 13 A

子
CO
他電気部品
14
ETC
ELECTRIC
PARTS
考
個数
備
部
名
番
品
品
No
.
REMARKS
PART
NAME
Q
’
TY
PART
No
.
REF
No
.
SIGNAL
TOWER
STW
-
302
V
^
yo
,
SK
>
J
WWW
N
224
STW
3
-
110
W
n
n
-
(
Dv
'
yT
M
T
20
E
12
30
V
0
.
3
A
3
.
3
A
LAMP
OF
SIGNAL
TOWER
3
N
224
T
20
E
-
102
2
KT
-
510
-
M
<
A
5
>
手元
,
仆
WORK
LIGHT
N
911
KT
510
M
3
IL
-
40
<
A
34
>
手 元
球
N
911
S
35
E
-
006
LAMP
4
TRANSFORMER
NES
2000
TUV
N
264
NES
2
-
021
5
MU
1428
S
-
41
N
238
MU
14
-
032
FAN
MOTOR
2
6
77
〉
t
-
夕
RPV
/
K
01
C
/
1
GE
<
A
6
-
A
7
>
非常停止
Mvf
EMERGENCY
STOP
SWITCH
2
7
N
306
RPVK
-
006
TLA
15
C
1
<
SA
50
>
手 元 分
/
丽
WORK
LAMP
SWITCH
8
N
302
TLA
15
C
1
TRANSFORMER
NET
3460
TUV
9
N
264
NET
3
-
020
C
1
-
PKZ
0
-
GR
<
A
12
>
MAIN
SWITCH
BOX
10
N
235
C
1
PKZ
0
GR
㈣
W
,
Hi
PKZMO
-
6
.
3
N
235
PKZM
06
.
3
THERMAL
BREAKER
11
7
Of
i
'
-
K
N
238
FG
14
B
FINGER
GUARD
2
FG
14
B
12
FN
351
-
16
-
29
<
A
52
>
MX
im
N
263
FN
35
-
037
NOISE
FILTER
13
TM
-
2
-
8221
/
EZ
/
S
-
N
<
A
51
>
N
302
TM
28
-
248
KEY
SWITCH
14
防 振
3
‘
A
RUBBER
X
00
B
09039
15
PX
00
K
80
-
000
EC
-
14
B
E
28

配線用部品
15
]
WIRING
COMPONENTS
PX
00
B
80
-
000
-
13
A

配線用部品
Isl
WIRING
COMPONENTS
考
備
名
個数
部
番
品
品
No
.
Q
’
TY
REMARKS
PART
NAME
PART
No
.
REF
No
.
N
3221375
P
r
W
PLUG
1375
P
i
/
tr
m
1375
R
RECEPTACLE
N
3221375
R
2
TW
1360
P
PLUG
N
3221360
P
3
wfm
1360
R
RECEPTACLE
N
3221360
R
4
TW
PLUG
1292
P
N
3221292
P
5
mm
RECEPTACLE
1292
R
N
3221292
R
6
r
w
PLUG
1261
P
N
3221261
P
wrm
RECEPTACLE
1261
R
8
N
3221261
R
TW
PLUG
1490
P
N
3221490
P
9
WT
夕
W
RECEPTACLE
1490
R
N
3221490
R
10
TW
PLUG
1396
P
N
3221396
P
11
1
/
七
/
夕
«
RECEPTACLE
1396
R
12
N
3221396
R
YW
PLUG
1545
P
N
3221545
P
13
i
/
t
7
°
m
RECEPTACLE
1545
R
14
N
3221545
R
TERMINAL
(
R
)
N
3241189
ATL
夕
-
挪
(
R
)
1189
ATL
15
TERMINAL
(
R
)
1381
ATL
N
3241381
ATL
16
TERMINAL
(
P
)
9
-
m
o
>
)
1190
TL
N
3241190
TL
17
夕
-
5
«
(
P
)
TERMINAL
(
P
)
TMOTL
N
3241380
TL
18
t
^
D
>
?
ij
77
-
NYLON
CLIP
SL
-
7
N
N
348
SL
7
N
19
«
D
>
夕
1
j
,
r
NYLON
CLIP
N
348
SL
6
N
SL
-
6
N
20
fiuy
NYLON
CLIP
SL
-
5
N
N
348
SL
5
N
21
tW
W
)
l
"
NYLON
CLIP
SL
=
4
N
22
N
348
SL
4
N
tW
州
7
。
N
348
SL
3
N
NYLON
CLIP
SL
-
3
N
23
tW
夕
1
J
,
7
。
N
348
SL
2
N
NYLON
CLIP
SL
-
2
N
24
WIRE
BINDER
T
30
L
(
200
mm
)
N
348
T
30
L
25
WIRE
BINDER
T
30
R
(
140
mm
)
N
348
T
30
R
26
夕
WIRE
BINDER
BK
-
1
(
lOOnm
)
27
N
348
BK
1
匕
’
二
-
卟
f
i
-
7
’
WIRE
TUBE
28
N
346
KER
2
.
OK
KER
-
2
.
0
Uu
h
'
z
-
J
[
于
1
-
7
’
WIRE
TUBE
29
N
346
KER
4
.
OK
KER
-
4
.
0
?
n
匕
二
-
A
fi
-
r
WIRE
TUBE
30
N
346
KER
5
.
OK
KER
-
5
.
0
Ho
f
z
-
)
[
fj
-
r
N
346
KER
6
.
OK
WIRE
TUBE
31
KER
-
6
.
0
t
.
二一瓜
fa
-
7
'
N
346
KER
8
.
OK
WIRE
TUBE
32
KER
-
8
.
0
iu
d
fa
-
7
'
N
346
KER
10
K
WIRE
TUBE
33
KER
-
10
t
.
二于
;
1
-
7
.
N
346
KER
12
K
WIRE
TUBE
34
KER
-
12
Uv
f
fPf
WIRE
TUBE
35
N
346
KER
15
K
KER
-
15
夕口
N
322
SB
0313
A
NYLON
CONNECTOR
CAP
36
SB
-
0313
A
N
322
SB
0314
A
WD
>
im
年
”
7
,
NYLON
CONNECTOR
CAP
37
SB
-
0314
A
]
衬夕
+
”
7
。
N
322
SB
0315
A
NYLON
CONNECTOR
CAP
38
SB
-
0315
A
]
衬夕
N
322
SB
0316
A
NYLON
CONNECTOR
CAP
39
SB
-
0316
A
N
322
SB
0576
tiuy
]
衫夕 牛
”
/
NYLON
CONNECTOR
CAP
40
SB
-
0576
N
322
SB
1781
丽丽
Wyf
NYLON
CONNECTOR
CAP
SB
-
1781
41
77
-
讣
>
端子
42
N
324
FVDH
-
021
TERMINAL
FVDHDF
1
.
25
-
250
B
YW
N
322555904
P
PLUG
43
S
559
-
04
P
vtr
m
N
322555704
R
RECEPTACLE
44
5557
-
04
R
TW
45
N
322555914
P
PLUG
5559
-
14
P
wrm
46
N
322555714
R
RECEPTACLE
5557
-
14
R
TW
47
N
322555916
P
PLUG
5559
-
16
P
N
322555716
R
48
RECEPTACLE
5557
-
16
R
〕
功夕
49
N
316
TOCP
155
K
CONNECTOR
T
0
CP
155
K
]
本夕夕
N
250
XHP
2
CONNECTOR
50
XHP
-
2
■
次頁
'
続
<
”
”
Continued
to
the
next
page
.
PX
00
B
80
-
000
-
13
A
E
30