JX-300LED_使用说明书.pdf - 第461页
第 1 部 基本篇 第 4 章 制作生产程序 ◆ 吸取跟踪中的示教操作 流程 搭載座標 XYエディットボックス に入力 フォーカス またはHOD デバイスキー 押下 ENTER CANCEL ティーチング 操作 [ 設定」 ボタンまたは ENTER を押す 搭載 データ 変更 [ 取消 ] ボタンまたは CANCEL を押す 座標確定後 ティーチングボ タン 吸取坐标 将输入焦点放在 XYZ 编辑框里 按下示教按钮或 HOD 装…

第 1 部 基本篇 第 4 章 制作生产程序
6) 跟踪时的坐标示教
当跟踪的坐标与实际不一致时,可以使用示教按钮或HOD操作进行吸取坐标的示教。
<步骤>
① 将光标移动到 X、Y 或 Z 坐标上。
② 按示教按钮或 HOD 装置按钮,进行坐标示教,按 ENTER 键确定。
图 4-5-4-4-15 示教中(面板)
图 4-5-4-4-16 示教中(HOD)
③ 要使确定的坐标值有效时,按<设定>或再次按下 ENTER。
要还原坐标时,按<取消>或 CANCEL。
在操作选项中设定为[放大数字]时,可将摄像机拍摄的图像放大后显示在 VCS 监视器上。
在上述步骤②中,按下示教按钮或 HOD 的 WINDOW 键时,通常可转入窗口示教。
继续第 2 次按下 WINDOW 键,可进入放大的窗口显示示教。
元件外形尺寸的长边为 2.26mm 以上时,不论操作选项的设定如何,都不会放大显示。
吸取角度为 0 / 90 / 180 / 270°以外时,也不放大显示。
根据元件外形尺寸,可切换为如下倍率。
・选中放大4倍时
长边尺寸为 2.25~1.11mm 时,放大×2 倍显示。
长边尺寸为 1.10~0.01mm 时,放大×4 倍显示。
・不 选中放大4倍时
长边尺寸为 2.25~0.01mm 时,放大×2 倍显示。
4-187

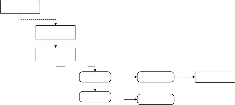
第 1 部 基本篇 第 4 章 制作生产程序
◆
吸取跟踪中的示教操作流程
搭載座標
XYエディットボックス
に入力フォーカス
またはHOD
デバイスキー押下
ENTER
CANCEL
ティーチング操作
[設定」ボタンまたは
ENTERを押す
搭載データ変更
[取消]ボタンまたは
CANCELを押す
座標確定後
ティーチングボタン
吸取坐标
将输入焦点放在
XYZ 编辑框里
按下示教按钮或
HOD 装置键
示教操作
确定坐标后
按下“设定”按钮
或 ENTER
按下“取消”按钮
或 CANCEL
变更贴片数据
4-188

第 1 部 基本篇 第 4 章 制作生产程序
7) 在跟踪吸取高度时在各点的运行
① 跟踪吸取高度的条件设定为
“与测量值间有差异则停止”
时
测量值一旦出现差异,即会显示如下信息。
自动传送时会停止,遇此情况时,请确认吸取数据的高度值。
② 跟踪吸取高度的条件设定为
“如果无法测量则停止”
时
当无法使用HMS测量时,即会显示如下对话框。
自动传送时会停止,遇此情况时,请确认吸取数据的吸取位置。
③ 吸取高度跟踪的条件设定为
“取得测量值”
时
会显示画面,询问是否把使用HMS测量结果加入到吸取数据的Z坐标中。
要加入时,请按下“是”。
④ 吸取高度跟踪的条件设定为
“用摄像机确认位置”
时
VCS监视器会显示吸取位置,若出现以下询问时,请目视进行确认。如果位置正确,请按 “是”。
要用示教改变吸取位置时,请按“否”,并进行示教操作。
4-189