JX-300LED_使用说明书.pdf - 第96页
第 1 部 基本篇 第 2 章 生产 2-2-3 生产主菜单的构成 主菜单 下拉式菜单 子菜单 内容 1 文件 1 打开 读入生产程序文件。 参见编辑程序中的“打开” 2 保存 覆盖保存编辑过的程序。 参见编辑程序中的 “保存” 3 另存为 改变程序的文件名后保存。 参见编辑程序中 的“另存为” 4 删除继续生产 文件 删除含有继续生产文件的生产程序的继续 生产文件。 5 设备信息的取 得 取得设备信息,保存文件。 6 退出应用程序 结…

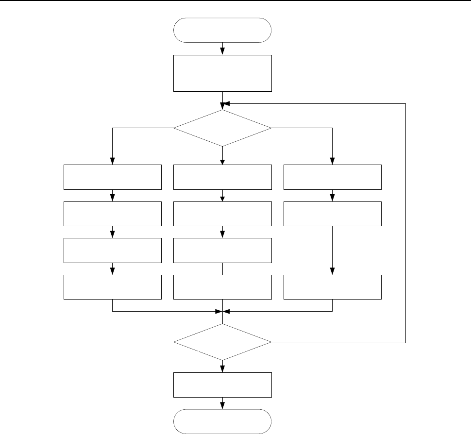
第 1 部 基本篇 第 2 章 生产
2-2-2 生产流程
START
生産条件を
選択して起動
終了
生産条件?
生産条件設定
部品数設定
基板生産
空打
空打条件設定
試打条件設定
部品数設定
試打
終了か?
実行モード指定
END
空打試打
基板生産
N
Y
実行モード指定
実行モード指定
图2-2-2-1 生产概略流程
START
选择生产条件
并起动
设置试打条件 设置生产条件 设置空打条件
指定运行模式 指定运行模式
试打
空打
设置元件数 设置元件数
试打 基板生产 空打
结束?
结束
END
N
Y
指定运行模式
生产条件?
生产基板
2-3

第 1 部 基本篇 第 2 章 生产
2-2-3 生产主菜单的构成
主菜单
下拉式菜单
子菜单
内容
1
文件 1
打开
读入生产程序文件。
参见编辑程序中的“打开”
2
保存
覆盖保存编辑过的程序。参见编辑程序中的
“保存”
3
另存为
改变程序的文件名后保存。参见编辑程序中
的“另存为”
4
删除继续生产
文件
删除含有继续生产文件的生产程序的继续
生产文件。
5
设备信息的取
得
取得设备信息,保存文件。
6
退出应用程序
结束生产。
2
显示 1
工具栏
切换工具栏的显示/隐藏。
2
状态栏
切换状态栏的显示/隐藏。
3
窗口 1
生产条件画面
显示生产启动画面。
显示基板生产条件、试打条件、空打条件、
操作选项中设置的内容。
设置共同项目、基板生产运行时、试打运行
时、空打运行时的条件。
2
生产状态
1 生产设备状态
显示生产开始时的画面。显示生产运行中的
设备状态。
2 生产状态
显示生产开始时的画面。显示生产运行中的
数据(步骤 No.等)。
3
生产管理信息
1
合计 显示生产程序固有的储存数据。
2 前面 显示各前面吸取位置储存的数据(吸取数量
等)。
3 后面 不能选择。
4 托架 显示每一层托架(托盘工作站)储存的数据。
5 MTC 不能选择。
6 MTS 显示每一层 MTS 储存的数据。
7 吸取率 按最差顺序,显示所有吸取装置的吸取位置
或各层的吸取率。
8 清除 清除储存的所有生产管理信息。
4
生产信息
显示生产运行中的数据(总贴片率等)。
5
传送·I/O 状态
显示传送路线的传感器状态及 I/O 状态。
生产通过模式时,也进行传送动作。
2-4

第 1 部 基本篇 第 2 章 生产
4
生产支援
1
生产程序检查
在生产运行前,进行生产程序的检查。
2
贴片跟踪
在执行生产前显示生产程序的贴片点一览,
进行贴片点跟踪,确认元件的贴片。
3
简易准备
可进行生产开始前的准备操作。
5
工具 1
设定元件数
显示元件数量设定画面。
对各吸取数据进行元件数量的设定。
2
操作选项
显示操作选项画面。
对生产中的运作进行设置等。
3
数据变更
可修改一部分元件数据。
4
自动基板宽度
调整
显示自动基板宽度调整画面。
5
重试列表 1 未贴片列表 显示未贴片列表画面。
2 供给装置信息 显示供给装置信息画面。
6
检查
1 单独验证
不能选择
2 连续验证
3 SOT 单独检查
可进行 SOT 检查。
4 SOT 连续检查
5
激光高度检查
可执行激光高度检查。
6
VCS 脏污检查
不能选择。
6
帮助 1
JX-300 帮助
显示 JX-300 的帮助。
2-5