JX-100_程序员、管理员.pdf - 第224页
第 2 章 制作生产程序 6) 跟踪时的坐标示教 当跟踪的坐标与实际不同时,可按示教按钮或用 HOD 进行贴片坐标的示教。 < 步骤 > ① 将光标移动到 X 或 Y 坐标。 ② 按示教按钮或 HOD 装置键,进行坐标示教,然后按 ENT ER 键确定。 图 2-5-4-4-6 正在进行示教(示教按钮时) 图 2-5-4-4-7 正在进行示教( HOD 时) ③ 要使确定的坐标值有效时,按下 < 设定 > 或再次…

第 2 章 制作生产程序
4) 跟踪时的操作
执行时可使用以下键/开关来控制动作。
表 2-5-4-4-1
操 作
键 盘
操作面板
HOD
跟踪开始 F1 开始开关 ENTER
跟踪停止 F2 停止开关 PAUSE
自动示教 F3
移动到前一点 F5 PREVIOUS
移动到下一点 F6 NEXT
数据检查 F9
结束 在停止时按 ESC
在停止时按停止(STOP)开关
在停止时按 CANCEL
5) 监视器显示
在执行时,每一贴片点都向监视器输出如下信息。
如下表所示,根据元件尺寸,在监视器中的元件中心及四角的显示有所不同。
元件尺寸
元件的四角
元件的中心
短边在 4.5mm 以下的元件
用监视器上的窗口框表示。设定了角度的
贴片点通过窗口框本身的旋转来显示。
交叉线的中心
上述元件以外的元件
(大型元件)
分别按照[TOP-L]、[TOP-R]、[BTM-R]、
[BTM-L]的顺序移动到四角坐标上。设定
了角度的贴片点移动到四角旋转过的坐
标上。
四角移动后,最后显示
[CENTER]
,移动到中心。
------- PLACE XY TRACE -------
[CENTER]
Cur.No:电路编号
Pla.No:贴片编号
Compo:元件名
Angle:贴片角度
Pos X:坐标 Y:坐标
[
CENTER」
表示元件中心
[
TOP-L][ TOP-R][ BTM-L]
[
BTM-R]
表示元件的四角。
分别表示上左、上右、下左、
下右。
显示从返回原点位置开始的坐标。
表示元件的中心及元件的四角。
2-167

第 2 章 制作生产程序
6) 跟踪时的坐标示教
当跟踪的坐标与实际不同时,可按示教按钮或用HOD进行贴片坐标的示教。
<步骤>
① 将光标移动到 X 或 Y 坐标。
② 按示教按钮或 HOD 装置键,进行坐标示教,然后按 ENTER 键确定。
图 2-5-4-4-6 正在进行示教(示教按钮时)
图 2-5-4-4-7 正在进行示教(HOD 时)
③ 要使确定的坐标值有效时,按下<设定>或再次按下 ENTER。
要返回坐标时,按下<取消>或CANCEL。
2-168

第 2 章 制作生产程序
在操作选项中设定 [放大数字]时,可将像机拍摄的画像放大在监视器上显示。
在上述步骤②中,按 1 次 HOD 的 WINDOW 键时,通常情况下,可转入窗口示教。
继续按下第 2 次 WINDOW 键时,切换为放大显示的示教窗口。
元件外形尺寸的长边为 2.26mm 以上时,不论操作选项的设定如何,都不能放大显示。而且,
贴装角度 + 电路角度为 0 / 90 / 180 / 270°以外时,也不能放大显示。
可根据元件的外形尺寸,切换放大比例:
・选中放大4倍时:
长边尺寸为 2.25~1.11mm 时 ,放大 2 倍显示。
长边尺寸为 1.10~0.01mm 时,放大 4 倍显示。
・不 选中放大4倍时:
长边尺寸为 2.25~0.01mm 时,放大 2 倍显示。
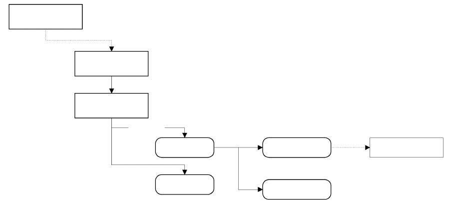
◆ 贴片跟踪时的示教操作流程
把输入焦点移到
贴片坐标
的 XY 编辑框中
输入焦距
示教操作
确定坐标后
ENTER
CANCEL
按下“设定”按钮
或 ENTER
按下“取消”按钮
或 CANCEL
变更贴片数据
按下示教按钮或
HOD 设备键
2-169