LA 404-2 Pattern Controller Manual.pdf - 第38页
LA 404-2 Patt ern Control Sys tem 32 P/N 7 1 19995A 2006 Nordson Corporation LA 4 04- 2 Is sued 12/06 Pressure 1 and 2 Sett ings The pat tern controller accura tely regulates the system pressure to m aintain proper adhes…

LA 404-2 Pattern Control System
31
P/N 7119995A
2006 Nordson Corporation
LA 404-2
Issued 12/06
Trigger Settings (1 - 4)
This menu is used to set the product length, gun trigger offset (GTO) and
masking.
Masking is a length used to lockout the photosensors for a predetermined
distance. This distance is programmed when the products contain holes or
cutouts.
Trigger 1 Settings
Prod.length 100 mm
GTO 50 mm
Masking 5 mm
O668
NOTE: The product length can only be set in Administrator mode when the
jam detection is switched on and is only then displayed. Jam detection is
activated in Trigger # Config in the Setup menu. Refer to page 30 for more
information.
1. To set product length
a. Press the or button for the cursor to appear beside the numeric
value.
b. Press the or button to select value from 0 - 9999 mm. Enter
the length of the product to be glued.
NOTE: If the value 0 is entered as the product length, jam detection is not
performed.
2. To set the GTO
a. Press the or button for the cursor to appear beside the numeric
value.
b. Press the or button to set the desired value from 2 - 9999 mm.
3. To set Masking:
a. Press the or button for the cursor to appear beside the numeric
value.
b. Press the or button to select value from 0 - 9999 mm.

LA 404-2 Pattern Control System
32
P/N 7119995A
2006 Nordson Corporation
LA 404-2
Issued 12/06
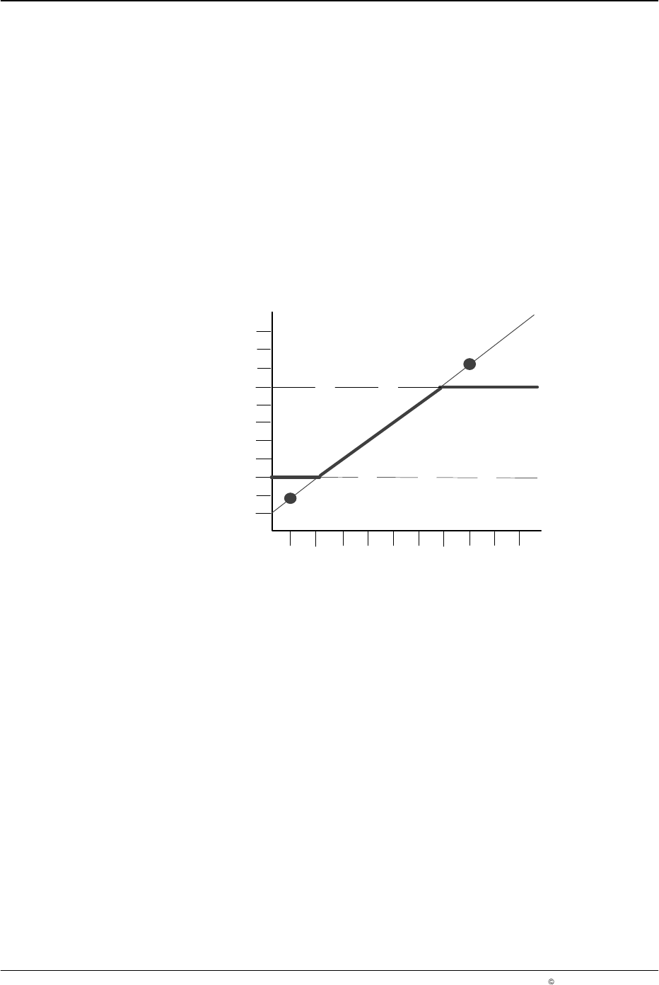
Pressure 1 and 2 Settings
The pattern controller accurately regulates the system pressure to maintain
proper adhesive volume during line speed changes. This menu is used to
set the two-point linear pressure profile for each runup.
The linear pressure curve is defined by setting Speed 1 (S1) at Pressure 1
(P1), and Speed 2 (S2) at Pressure 2 (P2), see Figure 5.
Maximum and Minimum Line Pressure
The minimum line pressure is reached at the minimum cutoff limit, and the
maximum pressure is reached at the maximum cutoff limit. Pressure cannot
be set below the assigned minimum cutoff limit or above the assigned
maximum cutoff limit.
90 %
10 %
30 %
50 %
70 %
0
50
500
450
100 %
150 250
400
350
100 200
300
Maximum
S1, P1
S2, P2
Pressure Profile
Minimum
Minimum and maximum line pressure settings:
Minimum = 30 %
Maximum = 80 %
Speed 1 = 50 m/min, Pressure 1 = 20 %
Speed 2 = 400 m/min, Pressure 2 = 95 %
6640013A
Pressure
Speed (m/min)
Fig. 5 Pressure Curve Settings

LA 404-2 Pattern Control System
33
P/N 7119995A
2006 Nordson Corporation
LA 404-2
Issued 12/06
Pressure 1 Settings
Speed 1 0 P1 0 %
Speed 2 100 P2 80 %
Min 0 % Max 100 %
O668
1. To set Speed 1
a. Press the or button for the cursor to appear beside the numeric
value.
b. Press the or button to set the desired speed value from 0 - 599
m/min.
2. To set P1
a. Press the or button for the cursor to appear beside P1’s
numeric percentage value.
b. Press the button to set P1 from 0 - 100 %.
3. To set Speed2
a. Press the or button for the cursor to appear beside the numeric
value.
b. Press the or button to set the desired speed value from 1 - 599
m/min.
4. To set P2
a. Press the or button for the cursor to appear beside P2’s
numeric percentage value.
b. Press the button to set P2 from 0 - 100 %.
5. To set minimum and maximum pressure:
a. Press the or button for the cursor to appear beside either Min
or Max.
b. When the cursor appears beside Min, press the or button to
set the desired percentage value from 0 - 99%.
c. When the cursor appears beside Max, press the or button to
set the desired percentage value from 1 - 99%.
6. Press the top SETUP button to open the Pressure 2 settings menu and
then repeat steps 1 - 5.