FAG超精密轴承.pdf - 第33页
Schaeffler Group Industrial SP 1 31 主轴轴承 B 、 HCB 、 HS 、 HC 、 XC 、 XCB 、 RS 和 HCRS 同时也 适用于直接润滑式设计。 油气润滑相关建议 喷嘴数量 ■ 每个轴承都单配喷嘴 ■ 节圆圆周上每隔 150 mm 处设一喷嘴。 喷嘴的设计 ■ 导入管平行于主轴旋转轴线方向并由内圈挡边和保持架间 喷入。 喷射节圆直径 ■ 喷射节圆直径 E tk ,参见轴承尺寸表。 导入管…

30
SP 1
Schaeffler Group Industrial
润滑
油润滑 对于超精密轴承的润滑,带有极压的合成润滑油特别适用。
实践证明,符合
ISO VG 68
+
EP
标准的润滑油适合主轴润滑。这
就是说,润滑油的黏度在
+40 °C
时是
68 mm
2
/
s
而且里面还含有
极压添加剂。
润滑方式
最少油量润滑
FAG
主轴轴承只需要很少量的润滑油。假如所有滚动与滑动接触
面都浸过油,那么所需的油量大约为
100 mm
3
/
h
。这么小的油量
润滑可将摩擦功率损失减至最低。
如果主轴转速超过轴承脂润滑的极限转速时,可以采用最少油量
润滑。先进标准的润滑方式为油气润滑。轴承表中列出了采用
最少油量润滑可达到的极限转速,请看尺寸表。
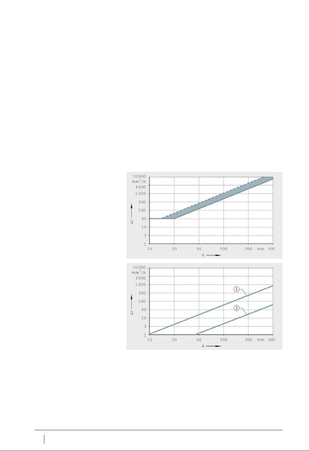
最少润滑油量的指导值如
图
5
所示。但是轴承内部润滑油的流动
状况对所需油量的多少影响极大。在下图的润滑油量区间里,
陶瓷球的所需油量大部分是靠近上极限,而钢球所需的润滑油量
大部分是靠近下极限。
超精密圆柱滚子轴承所需润滑油量如图
图
6
所示。
Q
= 润滑油量
d
= 轴承内径
图5
主轴轴承采用油气润滑
所需润滑油量
00016C20
Q
= 润滑油量
d
= 轴承内径
内圈带挡圈的轴承
n
·
d
m
10
6
min
–1
·
mm
外圈带挡圈的轴承
n
·
d
m
600 000 min
–1
·
mm
图6
圆柱滚子轴承采用油气润滑
所需润滑油量
00017029

Schaeffler Group Industrial
SP 1
31
主轴轴承
B
、
HCB
、
HS
、
HC
、
XC
、
XCB
、
RS
和
HCRS
同时也
适用于直接润滑式设计。
油气润滑相关建议
喷嘴数量 ■ 每个轴承都单配喷嘴
■ 节圆圆周上每隔
150 mm
处设一喷嘴。
喷嘴的设计 ■ 导入管平行于主轴旋转轴线方向并由内圈挡边和保持架间
喷入。
喷射节圆直径 ■ 喷射节圆直径
E
tk
,参见轴承尺寸表。
导入管 ■ 内径
2mm
到
2
.
5mm
■ 可弯曲,能看见管壁内润滑油流动的透明塑料管。
长度 ■ 最少
1m
,最理想
4m
,最长不超过
10 m
■ 具有约五圈的螺旋
■ 中心轴线为水平或向上倾斜不超过
30°
■ 位置在喷嘴前方大约不少于
500 mm
处
■ 润滑中断时,油液会集中在底部的螺旋处,当运转重新开始
后,可很快继续供给润滑剂。这样主轴可在很短时间内重新
启动。
润滑油出口 ■ 在每个轴承两侧
■ 油液的积聚会导致高温运转
■ 对于立式主轴,应在每个轴承下方设置导出管,这样下面的
轴承不会过润滑。可能的话,导出管孔径
5mm
■ 为了平衡压力,应将同一个主轴上所有轴承的导入管相连。
请向油气润滑设备制造商索取更详细的资料。
油气润滑装置
特点 建议
润滑油清洁度等级 请看表页码第
18
页,清洁度部分
空气清洁度 最大颗粒尺寸为
1
m
空气干燥度 露点为
+2 °C
空气导入管压力 ⬇
3bar
喷嘴直径
0.5 mm
到
1mm
每次喷射周期的正常油量 每小时正常喷射周期
mm
3
3
,
5
,
10
,(
30
,
60
,
100
)
6
到
10
次

32
SP 1
Schaeffler Group Industrial
公差
超精密轴承公差 超精密轴承的公差符合
DIN 620
。有关尺寸和精度的定义如
DIN ISO 1132
中所述。
为了确保充分发挥轴承的性能,并达到非常高的加工精度,
FAG
超精密轴承的尺寸,形状和运转精度等,均按标准中所定的
小公差制造。
尺寸和形位公差应符合相应精度级别:
■ 所有超精密主轴轴承都能达到
P2
等级
■ 所有超精密圆柱滚子轴承和双向推力角接触球轴承都达到
SP
等级。
如果客户需要,超精密圆柱滚子轴承和双向推力角接触球轴承都
达到更高的精度等级
UP
。
公差测量原理见表从第
32
页到第
35
页。公差的值,请参阅相关
产品章节。
孔径
测量高度
a
请看第
36
页到第
38
页。
孔径 测量原理
d
= 公称孔径
(锥形内孔最小直径)
–
d
1
= 锥孔大端的公称直径
–
ds
=
d
s
–
d
在单一径向平面内,
单一孔径与公称孔径的偏差
a
= 测量高度
dmp
=
d
mp
–
d
在单一径向平面内,
平均孔径与公称孔径的偏差
a
= 测量高度
d1mp
=
d
1mp
–
d
1
–
锥孔大端平均直径与
公称孔径的偏差
V
dp
=
d
ps max
–
d
ps min
单一径向平面上单个孔径的
变动量
(
V
dp
为不圆度,符合
DIN 620
标准,
V
dp
/
2
为圆度,
符合
DIN ISO 1132
标准;
测量方法等同不圆度的测量)
a
= 测量高度
V
dmp
=
d
mp max
–
d
mp min
在不同径向平面上的
平均孔径变动量
a
= 测量高度
00016C2200016C2300016C2300016C24