FX-2操作手册.pdf - 第68页
操作手册Ⅱ 2-5-4 另存为 操作方法1:选择菜单的[文件 (F) ]→[另存为 (A )... ] 操作方法2:单击命令按钮 给生产程序命名后,保存。 图 2-5- 4 文件另存 为对话 框 如指定的生产程序名称已经存在时,会显示对话框,提示已有同名,询问是否要覆盖保存。 图 2-5- 5 确认 覆 盖保存文件信息 (注)文件名要符合 W indows 的规定。可使用日语(中文)命名,名称稍长也可。 请不要在 C 盘保存文件。 把文…

操作手册Ⅱ
2-5-2 打开
操作方法1:选择菜单的[文件 (F)]→[打开 (O)...]
操作方法2:选择工具栏的
操作方法3:按下 Ctrl + O
选择并读入生产程序。这时,如果有未保存的生产程序,会显示询问对话框。
(显示画面请参见「新建」。)
图 2-5-3 打开文件对话框
2-5-3 保存文件
操作方法1:选择菜单的[文件(F)]→[保存(S)]
操作方法2:选择工具栏的
操作方法3:按下 Ctrl + S
操作方法4:单击命令按钮
覆盖保存生产程序。不显示询问框。
覆盖保存后,原来的文件内容即被删除,敬请注意。
操作方法4:按下命令按钮
注意
2-15

操作手册Ⅱ
2-5-4 另存为
操作方法1:选择菜单的[文件(F)]→[另存为(A)...]
操作方法2:单击命令按钮
给生产程序命名后,保存。
图 2-5-4 文件另存为对话框
如指定的生产程序名称已经存在时,会显示对话框,提示已有同名,询问是否要覆盖保存。
图 2-5-5 确认覆盖保存文件信息
(注)文件名要符合 Windows 的规定。可使用日语(中文)命名,名称稍长也可。
请不要在 C 盘保存文件。
把文件存在 ROM 化后的 C 盘,会仿真占用主存储器。因而,把文件存在 C 盘里时,
将增加主存储器的使用量,压迫系统。反复保存后,可能造成存储量不足,显示
“出现错误”,需要重启本设备的状态。
注意
:
2-16

操作手册Ⅱ
2-6 生产准备
2-6-1 生产准备操作流程
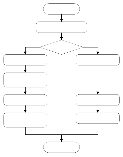
基板生产前需要进行的准备工作流程,示图如下。
..
搬送レール幅調整
基板固定方法
外形基準穴基準
ストッパ位置調整
センタリングピン
位置調整
サポートピン配置
基準ピン/従動ピン
位置設定
外形基準位置設定
開始
終了
サポートピン配置
ストッパ位置調整
图 2-6-1 生产准备流程图
开始
调整传送轨道宽度
孔基准
外形基准
调整挡块位置
调整挡块位置
调整定心销位置
配置支撑销
配置支撑销
设置基准针/
从动针
设置外形基准位置
退出
2-17