FX-3_InstructionManual_Rev06_C.pdf - 第116页
第1部 基本篇 第2章 生产 2-2-3 生产主菜单的构成 主菜单 下拉式菜单 子菜单 内容 1 打开 读入生产程序文件。 参见程序编辑的“2-6-1 打开” 2 保存 覆盖保存编辑过的生产程序。 参见程序编辑的“2-6-2 保存” 。 3 另存为 改变程序的文件名后另存为。 参见程序编辑的“2-6-3 另存为” 4 取得设备信息 取得设备信息,保存在文件中 5 删除继续生产文件 删除含有继续生产文件的 生产程序的继续生产文件。 1 文…

第1部 基本篇 第2章 生产
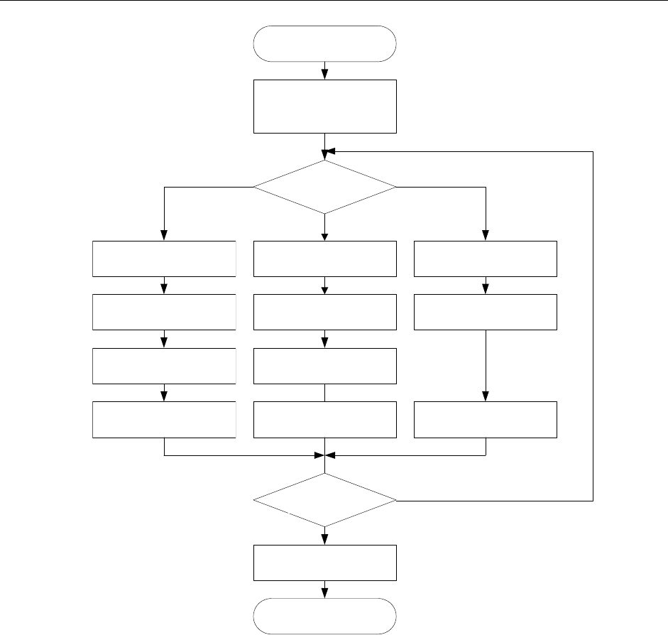
2-2-2 生产流程
START
START
生産条件を
選択 動して起
并起动
选择生产条件
終了
生産条件?
生産条件設定
部品数設定
基板生産 空打
空打条件設定試打条件設定
部品数設定
試打
終了か?
実行モード指定
END
空打
空打
試打
试打
生产条件?
基板生産
生产基板
设置空打条件 设置生产条件 设置试打条件
N
Y
実行モード指定 実行モード指定
指定运行模式 指定运行模式 指定运行模式
空打 基板生产 试打
设置元件数 设置元件数
N
Y
结束?
结束
END
图 2-2-2-1 生产概略流程
2-3

第1部 基本篇 第2章 生产
2-2-3 生产主菜单的构成
主菜单 下拉式菜单 子菜单 内容
1 打开
读入生产程序文件。
参见程序编辑的“2-6-1 打开”
2 保存
覆盖保存编辑过的生产程序。
参见程序编辑的“2-6-2 保存”。
3 另存为
改变程序的文件名后另存为。
参见程序编辑的“2-6-3 另存为”
4 取得设备信息
取得设备信息,保存在文件中
5 删除继续生产文件
删除含有继续生产文件的
生产程序的继续生产文件。
1 文件
6 退出
结束生产。
1 生产条件
显示生产启动画面。
显示在基板生产条件、试打条件、空打条件、
操作选项中设置的内容。
并设置共同项目、基板生产运行时、试打运
行时、空打运行时的条件。
1 设备
显示生产开始时的画面。
显示生产运行中的设备状态。
2 动作
显示生产开始时的画面。
显示生产运行中的数据(步骤 No.等)。
3 扩充
显示生产开始时的画面。
显示生产中基板数量的扩大。
2 生产状态
4 真空
显示生产开始时的画面。
显示生产中各个吸嘴贴片头的真空值。
1 综合 显示生产程序固定的储存数据。
2 He a d 显示每个吸嘴贴片头储存的数据(吸取次数等)。
3 供 给 显示供应装置每个吸取位置的数据(吸取次数等)。
3 生产管理
4 吸取率 显示所有吸取装置的吸取位置的吸取率。
按最差顺序。
2 窗口
4
电动式供料器确认
显示电动式供料器的状态
2-4

第1部 基本篇 第2章 生产
主菜单 下拉式菜单 子菜单 内容
1 设置元件数
显示元件数量设置画面。
对各吸取数据设置元件数量。
2 编辑数据
可变更一部分元件数据。
3 检查生产程序
实际生产前检查生产程序。
1 供应装置 显示供应装置的信息画面。
3 生产程序
4 重试列表
2 未贴片 显示未贴片列表画面。
1 支援准备
可进行生产开始前的准备工作。
2 跟踪贴片
实际生产前显示生产程序的贴片点列表,对
贴片点进行跟踪,确认贴片。
1 单独验证
2 连续验证
3 SOT 方向单独
检查
4 SOT 方向连续
检查
可进行验证、SOT 检查。
4 生产补助
3 检查
5 检查激光高度 可进行激光高度检查。
5 工具 1 操作选项
显示操作选项画面。
对生产中的动作进行设置。
2-5