SM411 Service Manual(CHI).pdf - 第400页
Samsung Component Placer SM41 1 Service Manual 8-14 8.4.11. Mirror Swing Motor Encoder Cable (No. 14) / Mirror Swing Motor Power Cable (No. 15) 项目 详细内容 位置 Head Bracket Maker DDK 连接器 17JE-13090-02 Pin 9Pin (Fe male) 引擎罩 1…

Flat Cable
作业指南
8-13
8.4.10. Z5, Z6 Encoder Cable (No. 12) / Z5, Z6 Power Cable (No. 13)
项目 详细内容
位置
Y Frame Bracket
Maker MOLEX
Pin
43030-0001
43030-0004
连接器
43645-0400
43020-0600
购买处
MOLEX Korea
价格
作业
工具
规格
63811-2800
工具
购买
供应处 : MOLEX Korea
价格 :
其它 务必使用专用tool措施
项目 详细内容
位置
Head Bracket
Maker DDK
连接器
17JE-13090-02
Pin 9Pin (Female)
引擎罩
17JE-09H-1C
购买处
DDK Korea
价格
作业
工具
规格
-一般烙铁
工具
购买
供应处 : 一般工具
价格 : 2~3 万元
其它 利用收缩管防止pin之间干涉
FG 05 05 FG
SD 03 06 SD
/SD 04 13 /SD
+5V 01 08 +5V
0V 02 15 0V
06 01 U
09 V
02 W
10 E
FG 05
SD 03
/SD 04
+5V 01
0V 02
0V 06
U01
V02 05 FG
W03 06 SD
E04 13 /SD
08 +5V
15 0V
U01 01 U
V02 09 V
W03 02 W
E04 10 E
하부브라켓 Z6-PW
DSUB-15PIN(Z5 MOTOR)
DSUB-15PIN(Z6 MOTOR)
하부브라켓 Z5-PW
하부브라켓 Z5-EN
하부브라켓 Z6-EN
Shield
Shield
Shield
Shield
White
底部BRACKET Z5-EN
底部BRACKET Z5-EN
底部BRACKET Z6-EN
底部BRACKET Z6-EN

Samsung Component Placer SM411 Service Manual
8-14
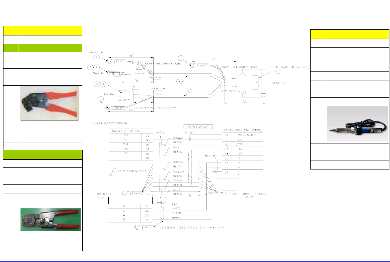
8.4.11. Mirror Swing Motor Encoder Cable (No. 14) / Mirror Swing Motor Power Cable (No. 15)
项目 详细内容
位置
Head Bracket
Maker DDK
连接器
17JE-13090-02
Pin 9Pin (Female)
引擎罩
17JE-09H-1C
购买处
DDK Korea
价格
作业
工具
规格
-一般烙铁
工具
购买
供应处 : 一般工具
价格 : 2~3 万元
其它 利用收缩管防止pin之间干涉
项目 详细内容
位置
Y Frame Bracket
Maker MOLEX
Pin 43030-0004
连接器
43020-0600
购买处
MOLEX Korea
价格
作业
工具
规格
63811-2800
购买 供应处 : MOLEX Korea
其它 务必使用专用tool措施
Maker AMP
Pin 172159-1
连接器
170359-1
购买处 TYCO国内代理店
价格
作业
工具
规格
-HTR 2445A
11-01-0026
工具
购买
供应处 : TYCO国内代理店
价格 :
FLAT底部 SW-PW

Flat Cable
作业指南
8-15
8.4.12. R Axis Step Motor Power Cable (No. 16) / R Axis Step Motor Power Cable (No. 17)
项目 详细内容
位置
Y Frame Bracket
Maker MOLEX
Pin 43031-0004
连接器
43020-1600
购买处
MOLEX Korea
价格
作业
工具
规格
63811-2800
工具
购买
供应处 : MOLEX Korea
价格 :
其它 务必使用专用tool措施
项目 详细内容
位置
Head Bracket
Maker DDK
连接器
D SUB-CON
CONN
15Pin 3列 D-SUB
引擎罩
17JE-09H-1C
购买处
DDK Korea
价格
作业
工具
规格
一般烙铁
工具
购买
供应处 : 一般工具
价格 : 2~3 万元
其它 利用收缩管防止pin间干扰