IPC-T-50F_.pdf.pdf - 第9页
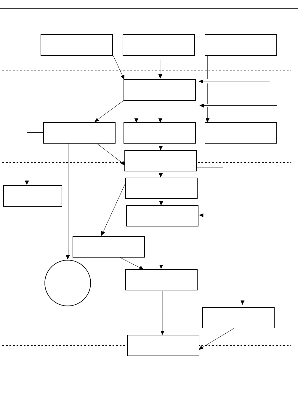
IPC-I-001025 Note: The term ‘‘Original’’ may be used to preface any of the drafting and photographic-tooling terms used in this figure. The ‘‘Original’ ’ is not usually used in manufacturing processes. In the event a ‘‘Co…

Assembled Board 80.0057
see ‘‘Assembly.’’
Assembly 80.1327
A number of parts, subassemblies or combinations thereof
joined together. (Note: This term can be used in conjunc-
tion with other terms listed herein, e.g., ‘‘Printed Board
Assembly.’’)
Assembly Drawing 26.1328
A document that depicts the physical relationship of two or
more parts, a combination of parts and subordinate assem-
blies, or a group of assemblies required to form an assem-
bly of a higher order.
Assembly Language 11.0058
A computer language made up of brief expressions that an
assembler program can translate into a machine language.
Assignable Cause 91.0059
see ‘‘Special Cause.’’
Asymetric Stripline 21.0060
A stripline signal conductor that is embedded, but not cen-
tered, between two ground planes.
Attenuation 21.0061
The reduction in the amplitude of a signal due to losses in
the media through which it is transmitted. The unit of mea-
sure is decibles (dB).
Attributes Data 94.0062
Qualitative data that can be counted for recording and
analysis purposes.
Automated Component Insertion 72.0063
The act or operation of assembling discrete components to
printed boards by means of electronically-controlled equip-
ment.
Automatic Component Placement 22.0029
Software that automatically optimizes the layout of compo-
nents on a printed board.
Automatic Conductor Routing 22.0124
Software that automatically determines the placement of
interconnections on a printed board.
Automatic Dimensioning 25.1329
A computer-aided drafting function that automatically gen-
erates dimensions, leaders, arrowheads, etc., that make up
a complete set of documented dimensions.
Automatic Test Equipment 92.0064
Equipment that automatically analyzes functional or static
parameters in order to evaluate performance
Automatic Test Generation 92.0065
Computer generation of a test program based solely on cir-
cuit topology with little or no manual programming effort.
AWG Equivalent 92.0066
The American Wire Gauge (AWG) round-conductor num-
ber that is used to designate a flat conductor with an equal
cross-sectional area.
Axial Lead 31.0067
Lead wire extending from a component or module body
along its longitudinal axis.
Azeotrope 49.0068
see ‘‘Azeotropic Mixture’’
Azeotropic Mixture (Azeotrope) 49.1330
A liquid mixture of two or more substances that behaves
like a single substance. The vapor produced by partial
evaporization of the liquid has the same composition as the
liquid.
B
B-Stage 41.1343
An intermediate stage in the reaction of a thermosetting
resin in which the material softens when heated and swells,
but does not entirely fuse or dissolve, when it is in contact
with certain liquids. (See also ‘‘C- Staged Resin.’’)
B-Staged Material 41.0069
see ‘‘Prepreg.’’
B-Staged Resin 41.0070
A thermosetting resin that is in an intermediate state of
cure. (See also ‘‘C-Staged Resin.’’)
Back Annotation 21.0072
The process of extracting appropriate information from a
completed printed board design and inserting it on the
boards schematic diagram.
Back Bonding 74.0073
Attaching a die to a base material with its circuitry facing
away from the base material.
Back Mounting 74.0079
see ‘‘Back Bonding.’’
Back Taper(s) 51.0081
The constant decrease in diameter along the length of the
body of a drill.
Back-Bared Land 22.0071
A land in flexible printed wiring that has a portion of the
side normally bonded to the base dielectric material
exposed by a clearance hole.
IPC-T-50F June 1996
4

IPC-I-001025
Note:
The term ‘‘Original’’ may be used to preface any of the drafting and photographic-tooling terms used in this figure. The
‘‘Original’’ is not usually used in manufacturing processes. In the event a ‘‘Copy’’ is made, the copy must be of sufficient accuracy to
meet its intended purpose if it is to take on the name of any one of the terms used in this figure. Other adjectives may also be used
to help describe the kind of copy, i.e., ‘‘nonstable,’’ ‘‘first generation,’’ ‘‘record,’’ etc.
Figure A–3 Simplified flow chart of printed board design/fabrication sequence
PARTS LIST
SCHEMATIC DIAGRAM
LOGIC DIAGRAM
END PRODUCT
PERFORMANCE & TEST
REQUIREMENTS
MASTER
DRAWING
TEST/
PERFORMANCE
SPECIFICATION
PRINTED BOARD
ASSEMBLY
DRAWING
ARTWORK
MASTER
(See note.)
PRODUCTION
MASTER
(See note.)
MULTIPLE IMAGE
PRODUCTION MASTER
(See note.)
PANEL OR
PRINTED BOARD
(RIGID OR FLEXIBLE)
HOLES &
PROCESS
DATA
ARTWORK
(See note.)
ASSEMBLY
SEQUENCE/
PROCESS DATA
PRINTED
BOARD
ASSEMBLY
STANDARDS
MANUFACTURING
CAPABILITIES
Circuit Design
Packaging Design
Documentation
Manufacturing
Assembly
Test
FABRICATION
PROCESS
SPECIFICATION
PRINTED BOARD
LAYOUT
June 1996 IPC-T-50F
5

Backdriving 92.0074
An in-circuit testing technique that drives digital circuitry
outputs to a given logic level, by supplying pulses of suf-
ficient electrical current magnitude in parallel with the out-
puts, in order to overdrive the logic state conditions of the
next digital device inputs.
Backfill 36.0075
Filling a hybrid circuit package with a dry inert gas prior
to hermetic sealing.
Background (Artwork) 22.0076
The nonfunctional area of a phototool.
Background Variable 94.0077
A parameter of no experimental interest that is not held at
a constant value.
Backlighting 24.0078
Viewing or photographing by placing an object between a
light source and the eye or recording medium.
Backpanel 85.0080
see ‘‘Backplane.’’
Backplane 85.1331
An interconnection device used to provide point-to-point
electrical interconnections. (It is usually a printed board
that has discrete wiring terminals on one side and connec-
tor receptables on the other side.) (See also ‘‘Mother
Board.’’)
Backward Crosstalk 21.1332
Noise induced into a quiet line, as seen at the end of the
quiet line that is closest to the signal source, because the
quiet line has been placed next to an active line. (See also
‘‘Forward Crosstalk.’’)
Bake Out 56.0082
Subjecting a product to an elevated temperature in order to
remove moisture and unwanted gasses prior to certain steps
in the printed board manufacturing process or prior to final
coating.
Balanced Transmission Line 21.1333
A transmission line that has distributed inductance, capaci-
tance, resistance, and conductance elements that are
equally distributed between its conductors.
Ball Bond 74.0083
The thermocompression termination of the ball-shaped end
of an interconnecting wire to a land. (See also ‘‘Wedge
bond.’’)
Bar Code Marking 70.1731
An identification code consisting of a pattern of vertical
bars whose width and spacing identifies the item marked.
Bare Board 60.0084
An unassembled (unpopulated) printed board.
Barrier Metal 74.0085
A metal used to seal the semiconductor-die lands.
Base Material 40.1334
The insulating material upon which a conductive pattern
may be formed. (The base material may be rigid or flex-
ible, or both. It may be a dielectric or insulated metal
sheet.)
Base Material Thickness 22.1604
The thickness of the base material excluding conductive
foil or material deposited on the surfaces.
Base Metal 45.0088
see ‘‘Basis Metal.’’
Base Solderability 92.0089
The ease with which a metal or metal alloy surface can be
wetted by molten solder under minimum realistic condi-
tions.
Baseline Dimensioning 26.0086
The maximum variation between two features that is equal
to the sum of the tolerances on the two feature location
dimensions taken from the same origin. (See Figure B-1.)
Basic Dimension 26.1335
A numerical value used to describe the theoretical exact
location of a feature or hole. (It is the basis from which
permissible variations are established by tolerance on other
dimensions in notes or by feature control symbols.)
Figure B−1 Example of feature location using baseline
dimensions
IPC-T-50F June 1996
6