JX-200_使用说明书.pdf - 第97页
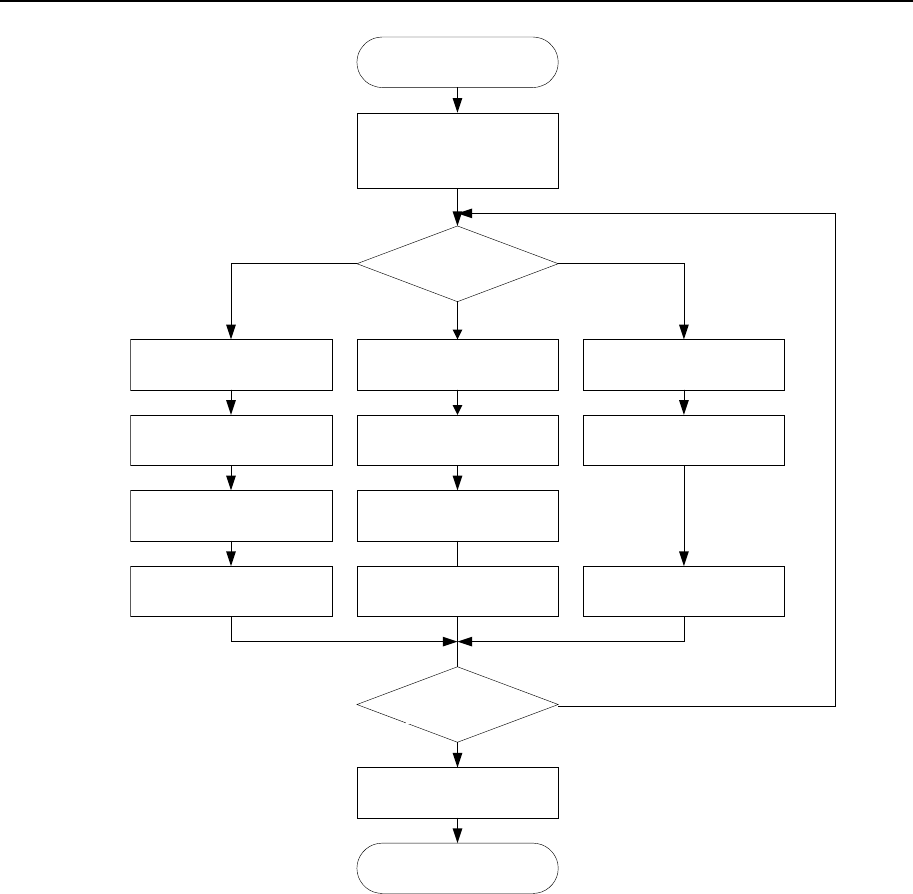
第 1 部 基本篇 第 2 章 生产 2-2-2 生产流程 START 生産条件を 選択して起動 終了 生産条件? 生産条件設定 部品数設定 基板生産 空打 空打条件設定 試打条件設定 部品数設定 試打 終了か? 実行モード指定 END 空打 試打 基板生産 N Y 実行モード指定 実行モード指定 图 2-2-2- 1 生产流程示意 选择生产条件 并起动 设置试打条件 指定运行模式 试打 空打 设置元件数 试打 基板生产 空打 结束? …

第 1 部 基本篇 第 2 章 生产
2-2 概要
使用已制作的生产程序,检查贴片和生产。
制作完新程序后,在实际生产前需要进行试生产,确认贴片坐标·吸取坐标等,并对新建
的程序进行最后检查。
2-2-1 生产模式
生产中有以下 3 种生产模式。
No. 生产模式 内容
1 基板生产 指定生产数量,实际生产基板的模式。
2
试打
试生产模式。
可选择吸取位置追踪和贴片后的贴片位置追踪。
※1
3
空打
不使用元件而确认吸取贴片动作的模式。
可选择吸取位置追踪和贴片后的贴片位置追踪。
※1
※1:参见第 4 章“4-5-4-4 确认”的贴片位置追踪与吸取位置追踪。
可在基板的生产、试打、空打模式中,分别设置生产条件、试打条件及空打条件。
2-2

第 1 部 基本篇 第 2 章 生产
2-2-2 生产流程
START
生産条件を
選択して起動
終了
生産条件?
生産条件設定
部品数設定
基板生産 空打
空打条件設定
試打条件設定
部品数設定
試打
終了か?
実行モード指定
END
空打試打
基板生産
N
Y
実行モード指定 実行モード指定
图 2-2-2-1 生产流程示意
选择生产条件
并起动
设置试打条件
指定运行模式
试打
空打
设置元件数
试打
基板生产
空打
结束?
结束
生产条件?
生产基板
设
置生产条件
设置空打条件
指定运行模式
指定运行模式
设置元件数
2-3

第 1 部 基本篇 第 2 章 生产
2-2-3 生产主菜单的构成
主菜单 下拉式菜单 子菜单 内容
1
文件
1
打开
读入生产程序文件。
参见程序编辑中的“打开”
2
保存
覆盖保存编辑过的生产程序。参见程序
编辑中的“保存”
3
另存为
改变程序的文件名后另存为。参见程序
编辑中的“另存为”
4
删除继续生产文
件
删除含有继续生产文件的生产程序中
的继续生产文件。
5
设备信息的取得
取得设备信息,保存在文件中
6
结束应用程序
结束生产。
2
显示
1
工具栏
切换工具栏的显示/不显示。
2
状态栏
切换状态栏的显示/不显示。
3
窗口
1
生产条件画面
显示生产启动画面。
显示基板生产条件、试打条件、空打条
件、操作选项中设置的内容。
并设置通用设定项目、基板生产运行
时、试打运行时、空打运行时的条件。
2
生产状态
1 生产设备状
态
显示生产开始时的画面。显示生产运行
中的设备状态。
2 生产状态
显示生产开始时的画面。显示生产运行
中的数据(步骤 No.等)。
3
生产管理信息 1 合计 显示生产程序固有的存储数据。
2 前面 显示每一前面吸取位置的存储数据(吸
取数量等)。
3 后面 显示每一后面吸取位置的存储数据。
4 托架 显示托架每一层的存储数据。
5 吸取率 按最差顺序显示所有吸取装置的吸取
位置,或显示每一层的吸取率。
6 清除 将已存储的生产管理信息全部清除。
4
生产信息
显示生产运行中的数据(总实装率等)。
5
传送·I/O 状态
显示传送路线的传感器状态及 I/O
状态。
4
生产支援
1
生产程序检查
在生产运行前,进行生产程序的检查。
2
贴片跟踪
在生产运行前显示生产程序的贴片点一
览,进行贴片点的追踪,确认元件的贴
片。
3
简易准备
进行生产开始前的准备操作。
2-4