KE-3010A_20VA_20VRA_使用说明书.pdf - 第136页
第 1 部 基本篇 第 2 章 生产 2-4 2-2-3 生产主菜单的构成 主菜单 下拉式菜单 内容 1 文件 1 打开 读入生产程序文件。 参见程序编辑的「 2-6-1 打开」 2 保存 覆盖保存编辑过的生产程序。 参见程序编辑的「 2-6-2 保存」 。 3 另存为 改变程序的文件名后另存为。 参见程序编辑的「 2-6-3 另存为」 4 保存生产管理信息 将生产程序的生产管理信 息以文本格式输出 (*.csv) 。 5 删除继续生产…

第 1 部 基本篇 第 2 章 生产
2-3
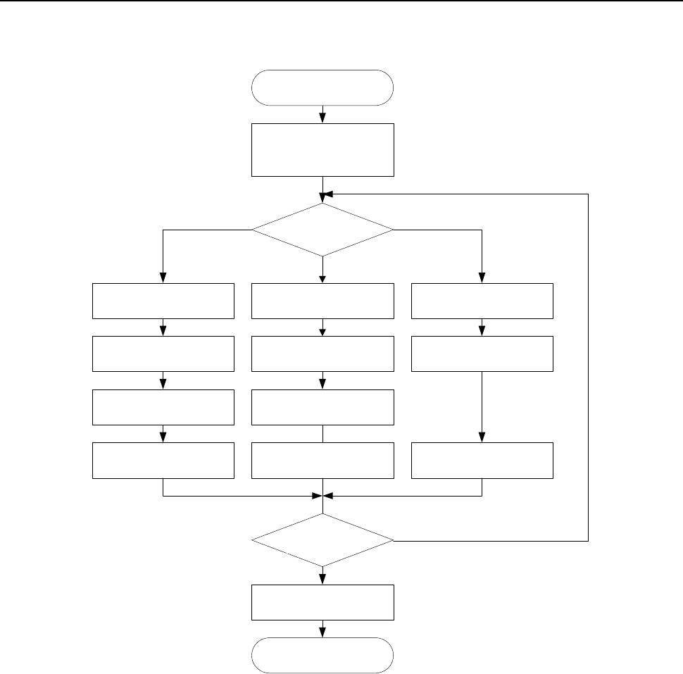
2-2-2 生产流程
生产概略流程
START
生産条件を
選択して起動
終了
生産条件?
生産条件設定
部品数設定
基板生産 空打
空打条件設定試打条件設定
部品数設定
試打
終了か?
実行モード指定
END
空打試打
基板生産
N
Y
実行モード指定 実行モード指定
START
选择生产条件
并起动
设置试打条件 设置生产条件 设置空打条件
指定运行模式 指定运行模式
试打
空打
设置元件数 设置元件数
试打 基板生产 空打
结束?
结束
END
N
Y
指定运行模式
生产条件?
生产基板

第 1 部 基本篇 第 2 章 生产
2-4
2-2-3 生产主菜单的构成
主菜单 下拉式菜单 内容
1
文件
1
打开
读入生产程序文件。
参见程序编辑的「2-6-1 打开」
2
保存 覆盖保存编辑过的生产程序。
参见程序编辑的「2-6-2 保存」。
3
另存为
改变程序的文件名后另存为。
参见程序编辑的「2-6-3 另存为」
4
保存生产管理信息
将生产程序的生产管理信息以文本格式输出
(*.csv)。
5
删除继续生产文件 删除含有继续生产文件的
生产程序的继续生产文件。
6 取得设备信息 取得设备信息,保存文件。
7
退出 结束生产。
2
窗口
1
生产条件 显示生产启动画面。
显示在基板生产条件、试打条件、空打条件、
操作选项中设置的内容。
并设置共同项目、基板生产运行时、试打运
行时、空打运行时的条件。
2
生产状态(设备)
显示生产开始时的画面。
显示生产运行中的设备状态。
3
生产状态(动作)
显示生产开始时的画面。
显示生产运行中的数据(步骤 No.等)。
4
生产状态(扩大) 显示生产开始时的画面。
显示生产中基板数量的扩大。
5
生产状态(真空) 显示生产开始时的画面。
显示生产中各个吸嘴 Head 的真空值。
6
生产状态(图像) 显示生产开始时的画面。
显示生产中拍摄的标记识别画面、图像识别
画面。
7
生产管理信息(综合)
显示生产程序固定的储存数据。
8
生产管理信息(Head)
显示每个吸嘴 Head 储存的数据(吸取次数
等)。
9
生产管理信息(供给)
显示供应装置每个吸取位置的数据(吸取次
数等)。
10
生产管理信息(吸取率)
显示所有吸取装置的吸取位置的吸取率。
按最差顺序。
11
清除生产管理信息 清除生产管理信息。
12
电动式供料器确认 显示电动式供料器的状态

第 1 部 基本篇 第 2 章 生产
2-5
主菜单 下拉式菜单 内容
3
生产程序
1
设置元件数 显示元件数量设置画面。
对各吸取数据设置元件数量。
2
编辑数据(变更数据) 可变更一部分元件数据。
3
检查生产程序 实际生产前检查生产程序。
4
重试列表(供应装置) 显示供应装置的信息画面。
5
重试列表(未贴片) 显示未贴片列表画面。
4
生产补助
(辅助)
1
支援准备 可进行生产开始前的准备工作。
2
跟踪贴片
实际生产前显示生产程序的贴片点列表,
对贴片点进行跟踪,确认贴片。
3
验证单独检查
可进行验证·SOT 检查、通用图像元件方向检
查。
4
验证连续检查
5
SOT/元件方向单独检查
6
SOT/元件方向连续检查
7
激光高度检查 可进行激光高度检查。
8 测量贴片基板面高度 测量贴片基板面高度。
9
VCS 脏污检查 进行 VCS 脏污检查。
5
工具
1
操作选项 显示操作选项画面。
对生产中的动作进行设置。