FX-1R_InstructionManual_C_Rev03a.pdf - 第404页
第7章 生产准备 7-2 7.3 传送部的构成 7.3.1 外形基准 1) 传入基板, IN 传感器①检测出基板后, 传送马达 ⑮ 驱动驱动轴⑩, 使传送带开始传送。 同时 打开停止挡块 ⑪ 。 2) 基板到达停止挡块 ⑪ 时,被 STOP 传感器④检测出来后,支撑台 ⑬ 上升,由 Y 钳夹马达夹住 基板外形,基板被安装在支撑台 ⑬ 的支撑销 ⑯ 夹住 。 3) 夹住基板后,与上述同,传入下一个基板,在等待传感器③位置上待命。 4) 上…

第7章 生产准备
7-1
7 生产准备
7.1 生产准备操作流程
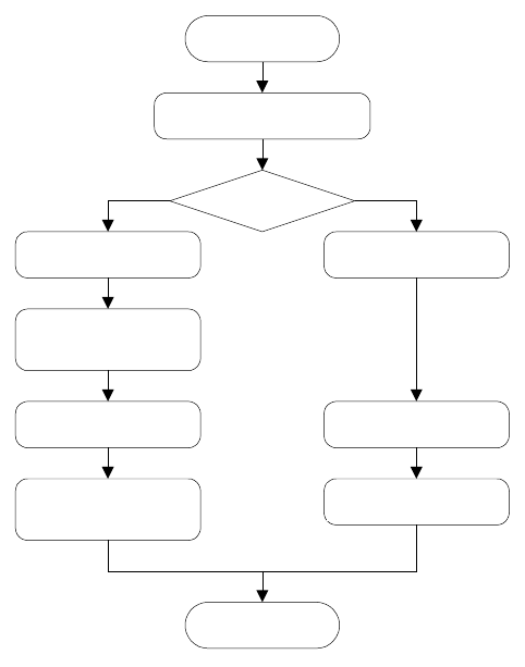
基板生产前需要进行的准备工作流程,如下图所示。
..
搬送レール幅調整
基板固定方法
外形基準穴基準
ストッパ位置調整
センタリングピン
位置調整
サポートピン配置
基準ピン/従動ピン
位置設定
外形基準位置設定
開始
終了
サポートピン配置
ストッパ位置調整
表 7.1-1 生产准备流程图
7.2 基板的设置
基板的固定(定心)方法有使用 Y 钳夹马达(中央基板宽度调整马达)
*1
的外形基准和使用定
心销的销基准(选装项)两种。
下面,对使用「生产」的简易准备功能对话框[传送]→[个别控制]
* 2
进行设置的方法
,加以
说明。
*1 在销基准也可使用 Y 钳夹马达,但比起外形基准,移动量要小得多。
*2 生产的简易准备功能操作方法如下:
依次选择[生产]→[生产支援]菜单 →[简易准备]→[传送]标签→[个别控制] 按钮,操作传
送准备工作画面。有关个别控制的详细说明,请参见第 10 章 手动控制。
注意: 启动[生产]时,需要读取生产程序。
开始
调整传送轨道宽度
孔基准
外形基准
调整挡块位置
调整挡块位置
调整定心销位置
配置支撑销
配置支撑销
设置基准针
/
从动针
设置外形基准位置
退出

第7章 生产准备
7-2
7.3 传送部的构成
7.3.1 外形基准
1) 传入基板,IN 传感器①检测出基板后,传送马达⑮驱动驱动轴⑩,使传送带开始传送。同时
打开停止挡块⑪。
2) 基板到达停止挡块⑪时,被 STOP 传感器④检测出来后,支撑台⑬上升,由 Y 钳夹马达夹住
基板外形,基板被安装在支撑台⑬的支撑销⑯
夹住。
3) 夹住基板后,与上述同,传入下一个基板,在等待传感器③位置上待命。
4) 上一个基板生产结束后释放基板,开始传出。
5) 上一个基板从 C-OUT 传感器④通过后,停止挡块⑪再打开,夹下一个基板。
7.3.2 销基准
传入动作和外形基准相同,但由安装在支撑台⑬上的定心销⑫、支撑销⑯来夹基板。传出动作
也和外形基准相同。
图 7.3-1 基板传送
① IN 传感器 ⑨ 传送电磁阀 ⑰ 减压阀
② OUT 传感器 ⑩ 驱动轴 ⑱ 调整柄
③ WAIT 传感器 ⑪ 停止挡块 ⑲ 调整停止挡块
④ STOP 传感器 ⑫ 定心销 ⑳ 杆轴
⑤ C-OUT 传感器 ⑬ 支撑台 手摇把
⑥ C-OUT2 传感器 ⑭ CENTER 马达 基板察觉档销
⑦ 支撑台原点传感器 ⑮ IN/OUT 马达
⑧ 支撑销检测传感器 ⑯ 支撑销
⑦
⑯
⑩
⑨
②
⑧
⑤
⑥
⑰
⑱
21
①
③
④
⑪
⑪
⑫
⑬
⑭
⑲
⑳
⑧
⑩
⑩
⑬
⑮
⑮
21
22
22

第7章 生产准备
7-3
7.4 调整传送轨道宽度
7.4.1 手动调整(标准)时
本装置若未安装自动宽度调整(AWC,选购项),可打开生产程序文件进行中心传送带宽度的
自动调整(单只限于中心传送带)。现就如何操作 HOD 调整中心传送带宽度,以及如何调整传入
传送带、传出传送带问题,说明如下。
7.4.1.1 步骤 1 中心传送带
使用 HOD 调整中心传送带的方法,可按照第 10 章手动控制的说明进行操作,现在,对下图的
[生产]→[生产支援]→[简易准备]调整方法,进行说明。
1. 启动[生产]。
2. 从菜单中选择[生产支援]→[简易
准备]。
图 7.4-1 选择[简易准备]
3. 中心传送带的传送基准轨道宽度与传入、传出传送带的宽度不一致时,从简易准备画面
中选 [传送]→[个别控制] 。
图 7.4-2 选择个别控制
在[传送] 标签
中选择[个别
控制] 按钮