FX-1R_InstructionManual_C_Rev03a.pdf - 第548页
第 8 章 生产 8-129 8.6.2.1 跟踪贴片确认对话框 按贴片编号顺序显示贴片元件的信息。 可以指定对各贴片点是否进行贴片及跟踪。 同时,可在贴片点上做标记。 图 8.6-4 跟踪贴片对话框 基本操作 1. 按下<START>开关后,搬入基板。 注意 按下<START>开关后设备开始运转。 按下开关前, 请确认设备运转不会对设备 附近的人造成危害。 按<START>开关前, 请确认没有安装、…

第 8 章 生产
8-128
8.6.2 确认贴片
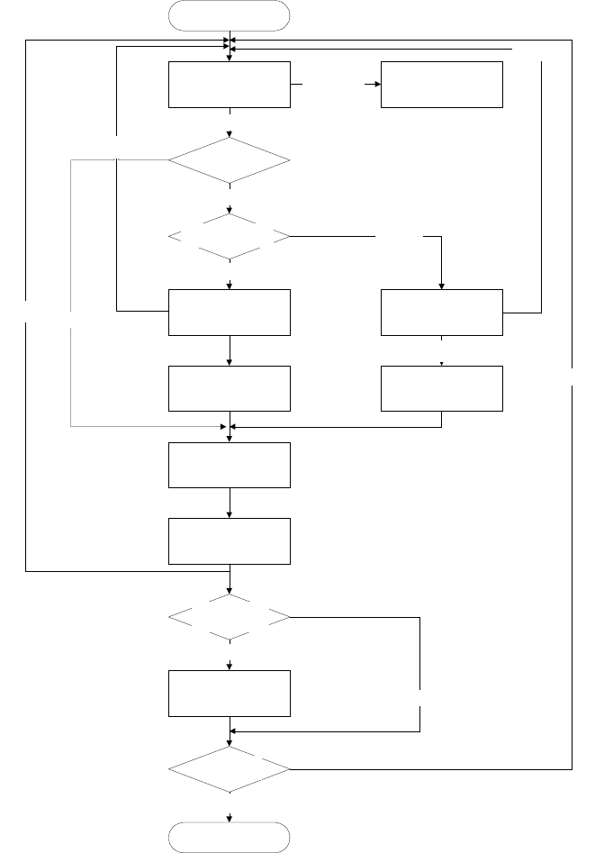
此功能在生产开始之前显示贴片点列表,通过跟踪确认贴片点上的元件是否进行了贴片。
确认贴片操作的流程示图如下。
STOPキー押下
START
いいえ
搭載追尾ダイアログ
基板がクランプ
されているか?
はい
いいえ
搬送路上に基板がある
か?
再クランプ確認
ダイアログ
はい
基板再クランプ
STARTキー押下
BOCマーク認識
搭載追尾する点の
搭載追尾
STOP押下
基板ロード確認
ダイアログ
基板ロード
生産アイドル状態STOPキー押下
いいえ
STARTキー押下
STOPキー押下
追尾後、
搭載するしないの
設定をする
搭載する・しない
の設定
はい
いいえ
追尾終了?
END
はい
图 8.6-3 执行贴片跟踪流程图
跟踪贴片对话框
按 STOP 开关
按 STOP 开关
生产空运行状态
按 START 开关
按 STOP 开关
基板被钳夹?
否
否
传送通道上有基板?
是
是
按 STOP 开关
重夹确认对话框
基板装载对话框
按 START 开关
重夹基板 基板装载
否
BOC 标记识别
贴片跟踪点的
贴片跟踪
跟踪后,进行不
贴片的设定
是
否
设定是否进行
贴片
结束跟踪?
是

第 8 章 生产
8-129
8.6.2.1 跟踪贴片确认对话框
按贴片编号顺序显示贴片元件的信息。
可以指定对各贴片点是否进行贴片及跟踪。
同时,可在贴片点上做标记。
图 8.6-4 跟踪贴片对话框
基本操作
1. 按下<START>开关后,搬入基板。
注意
按下<START>开关后设备开始运转。按下开关前,请确认设备运转不会对设备
附近的人造成危害。
按<START>开关前,请确认没有安装、或放置会防碍设备内部各项运行的物体
(调整工具等)。
另外,即使按下<STOP>开关中断设备当前的运行,但贴片确认尚未终止,设
备仍会继续运行。
即使在中断跟踪时,为防止发生人身伤害,在设备运行中切勿把手伸入设备
内部,脸和头也不要靠近设备。
2. 在传送轨道上有基板时,将重夹基板。基板已被夹紧时,则不再搬入、重夹。
3. 夹紧基板后,如果指定标记,则将进行标记识别。

第 8 章 生产
8-130
4. 之后,根据指定的跟踪方法进行贴片跟踪。
• 执行单独跟踪时,不论是否指定了[跟踪],要对现在选择行的贴片状况进行跟踪。
• 执行连续跟踪时,要按照设置,对指定的贴片点[执行]跟踪。
在连续跟踪状态下,不能移动到任意贴片点去。执行跟踪时的贴片点,变为选择状态。
(1)贴片点显示项目
根据顺序,按贴片编号顺序,显示贴片点的有关信息。
图 8.6-5 显示贴片点项目
贴片编号
贴片元件的贴片顺序号。
(@作为标记使用,标记连续跟踪时的开始位置。)
贴片头
(Head)
贴片元件的贴片头(Head)。
电路号 贴片元件的电路号。
步骤号
Step No.
贴片元件的步骤号。
元件 ID 贴片元件的 ID。
X 贴片元件的 X 坐标。
Y 贴片元件的 Y 坐标。
角度 贴片元件的角度。
元件名称 贴片元件的名称。
贴片 指定贴片元件是否进行贴片。
跟踪 指定贴片元件是否进行跟踪。
在此列表中选择执行单独跟踪的贴片点。
连续跟踪时,在选择贴片点后要设置是否执行跟踪、进行贴片、附加标记。