CX-1_使用说明书.pdf - 第104页
第1部 基本篇 第2章 生产 2-2-2 生产流程 START 生産条件を 選択 動 して起 終了 生産条件? 生産条件設定 部品数設定 基板生産 空打 空打条件設定 試打条件設定 部品数設定 試打 終了か? 実行モード指定 試打 基板 N Y 空打 生産 実行モード指定 実行モー ド指定 生产条件? 指定运行模式 生产基板 空打 试打 指定运行模式 指定运行模式 设定空打条件 设定生产条件 设定试打条件 并 起动 选择生产条件 ST …

第1部 基本篇 第2章 生产
2-2 概要
用已制作的生产程序检查贴片和生产状况。
制作完新程序后,在实际生产前,必须进行试生产,以检查贴片坐标·吸取坐标状况等,对新
建的程序进行最终确认。
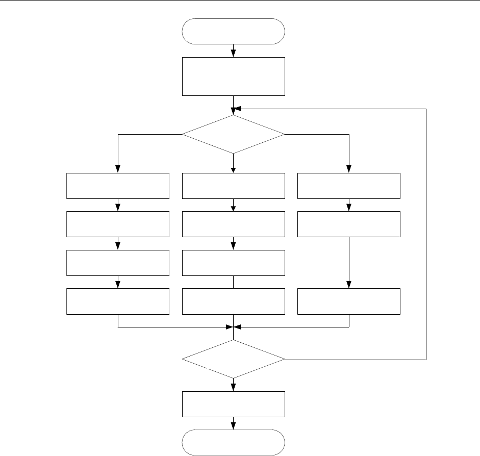
2-2-1 生产模式
生产,有以下 3 种生产模式。
No. 生产模式 内容
1 基板生产 是指:指定生产数量,实际进行基板生产的模式。
2 试打 是指:试生产模式。
可选择吸取位置跟踪和对贴片后的贴片位置进行跟踪。
※1
3 空打 是指:不使用元件而只检查吸取贴片动作的模式。
可选择吸取位置跟踪和贴片后的贴片位置跟踪。
※1
※1:参见第 4 章“4-5-4-4 确认”的贴片位置跟踪与吸取位置跟踪。
可在生产、试打、空打三种模式中,各设置生产条件、试打条件及空打条件。
2-2

第1部 基本篇 第2章 生产
2-2-2 生产流程
START
生産条件を
選択 動して起
終了
生産条件?
生産条件設定
部品数設定
基板生産 空打
空打条件設定試打条件設定
部品数設定
試打
終了か?
実行モード指定
試打
基板
N
Y
空打
生産
実行モード指定 実行モード指定
生产条件?
指定运行模式
生产基板
空打
试打
指定运行模式 指定运行模式
设定空打条件
设定生产条件 设定试打条件
并
起动
选择生产条件
START
END
Y
N
END
结束
结束?
基板生产
空打
试打
设定元件数
设定元件数
图 2-2-2-1 生产流程概略
2-3

第1部 基本篇 第2章 生产
2-2-3 生产主菜单的构成
主菜单 下拉式菜单 子菜单 内容
1 打开
读入生产程序文件。
参见程序编辑中的“打开”
2 保存
保存编辑好的生产程序。参见程序编辑中的“保
存”
3 另存为
改变程序的文件名后另存为。参见程序编辑中的
“另存为”。
4 删除继续生产文件
把生产程序中的继续生产文件删除掉。
5 设备信息的取得
取得设备信息,保存在文件中
6
设备信息的保存 将生产程序信息用 CSV 形式保存。
1 文件
7 退出
结束生产。
1 工具栏
切换工具栏的显示/不显示。 2 显示
2 状态栏
切换状态栏的显示/不显示。
1 生产条件画面
显示生产启动画面。
显示基板生产条件、试打条件、空打条件、操作
选项中设置的内容。
此外,需要设置共同设置项目、基板生产运行时、
试打运行时、空打运行时的条件。
1 生产设备状
态
显示生产开始时的画面。显示生产运行中的设备
状态。
2 生产状态
2 生产状态
显示生产开始时的画面。显示生产运行中的数据
(步骤 No.等)。
1 综合 显示生产程序储存的固有数据。
2 前面 显示在前侧每一个吸取位置(吸取数量等)的储
存数据。
3 后面 显示每一后侧每一个存储数据。
4 托架(DTS) 显示每一层托架的储存数据。
5 MTS 显示每一层 MTS 的储存数据。
6 吸取率 显示所有吸取装置的吸取位置,或显示各层的最
差顺序的吸取率。
3 生产管理信息
7 清除 将已储存的生产管理信息全部清除。
4 生产情报
显示生产运行中的数据(总实装率等) 。
5 传送状态
显示传送道的传感器状态及 I/O 状态。
生产空转时,也进行搬运动作。
3 窗口
6 生产操作情报
以图形显示单位时间生产操作信息(基板生产数
量)。
4 生 产 1 检查生产程序
在生产运行前,进行生产程序的检查。
2-4