CX-1_使用说明书.pdf - 第839页
第2部 功能详细篇 第1 2章 选项元件 12-8-8 错误处理 执行共面性检查时,出错后即显示对话框。 图 12-8-8-1 错误一览表画面 图 12-8-8-2 暂停画面 12-31

第2部 功能详细篇 第12章 选项元件
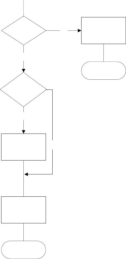
■ 共面装置的检查流程
START
是 BGA 吗?
共线性
检查(注 2)
共面性
检查(注 1)
是
单向引脚
是否为连接器?
共面性
检查(注 3)
否
END
是
否
END
注 1)BGA、FBGA 的共面检查,仅用最小平方平面法。
注 2)单向引脚连接器不进行共线检查。
注 3)单向引脚连接器的共面性检查与现状共线性检查相同。
图 12-8-7-2 处理流程(共面性检查的流程)
12-30

第2部 功能详细篇 第12章 选项元件
12-8-8 错误处理
执行共面性检查时,出错后即显示对话框。
图 12-8-8-1 错误一览表画面
图 12-8-8-2 暂停画面
12-31

第2部 功能详细篇 第12章 选项元件
12-8-9 共面性检查动作概要
执行共面检查时,轴的传感器上的实际动作如下所示。
12-8-9-1 统一测量元件
标准模式、高精度模式共面传感器可以扫描的元件尺寸在26mm以内
“单向扫描测量
”。
图 12-8-9-1 统一测量动作图
12-8-9-2 分批测量元件
在标准模式、高精度模式,元件的宽度超过共面传感器可以扫描的尺寸(26mm)时
共面传感器
26 mm
“此时进行扫描测量
”。
图 12-8-9-2 分割测量动作图
12-32