00191504-01.pdf - 第400页
6 Mi a t eendõ.. Használati ut asítás a SIPLACE 80S -20/F4/F4-6/F5 ti pushoz 98/03-as kiadás az SR.40 4 .xx s zoftverv erziótól 6.1 Ha bekapcs oljuk a SIPLACE g épsort 6-4 8 7 $/ È6 Ügyeljü nk arra , hogy a sorszám ító …

Használati utasítás a SIPLACE 80S-20/F4/F4-6/F5 tipushoz 6 Mi a teendõ..
98/03-as kiadás az SR.404.xx szoftververziótól
6.1 Ha bekapcsoljuk a SIPLACE gépsort
6-3
Ez a fejezet egy sor olyan témát tartalmaz, amelyek tapasztalat útján merültek fel, amelyeket
az automaták üzemelésekor szereztünk.
Szeretnénk Önöknek segíteni abban, hogy megelõzõ hibaelkerüléssel a gép állási idejét
minimálisra csökkenthessék. Ezen kívül célszerûnek tûnt számunkra, hogy ún. kezelõi és
beállítói profilokat állítsunk fel, hogy ezen feladat megosztáson keresztül lehetõség szerint
az automaták nagyfokú hatékonyságát érhessék el.
+D EHN DSFVROMXND6,3/$&(JpSVRUW
$ VRUV]iPtWyJpSLQGtWiVD
- Kapcsoljuk be a monitort.
- Kapcsoljuk be a megszakításmentes áramellátást (USV). Kb. 2 perc után megjelenik a
dialógus ablak.
- Az "AUTXXXXX login" mezõbe adjuk be a plr-t. (X = hely a felismerésre).
- Nyomjuk be a RETURN-gombot.
- Adjuk be a jelszót és ismét nyomjuk meg a RETURN-t.
kb. 3 perc elteltével megjelenik a "Desktop"-menü (törzsablak) képernyõn.
Amennyiben nem szükséges jelszó beadása, akkor kétszer egymás után nyomjuk
meg a RETURN-gombot.
$]iOORPiVRNLQGtWiVD
),* <( / ( 0
Az állomásokat és a perifériákat csak akkor kapcsoljuk be, hogy ha sorszámítógép monitor-
ján kijelzésre került a "Desktop" menü. Különben kommunikációs problémák léphetnek fel.
Mielõtt az automatát bekapcsoljuk...
- Ellenõrizzük, hogy az automatát csatlakoztattuk-e az áram, ill. sûrített levegõ ellátáshoz
- Hogy a manométerek a szükséges üzemi nyomást mutatják-e?
- Végezzük el az automata szabad szemmel történõ ellenõrzését. Különösen arra ügyel-
jünk, hogy ne legyenek akadályok a portálok mozgási tartományában.
- Ellenõrizzük, hogy a fejek végtengelyei felsõ végállásukban találhatók-e.
- Zárjuk le a védõtetõt.
- Ellenõrizzük, hogy az állomás számítógép floppy drive-jában nincs-e lemez.
- Az automatát a fõkapcsolóval kapcsoljuk be. Csatlakoztatott sorszámítógép és
kifogástalan kommunikáció esetében kb. 2 perc elteltével megjelenik a "Kezelõ"
használói osztály számára a fõmenü.

6 Mi a teendõ.. Használati utasítás a SIPLACE 80S-20/F4/F4-6/F5 tipushoz
98/03-as kiadás az SR.404.xx szoftververziótól
6.1 Ha bekapcsoljuk a SIPLACE gépsort
6-4
87$/È6
Ügyeljünk arra, hogy a sorszámító géptõl az állomás számítógépig történõ adat transzfer
ideje alatt a "Folyamatos feldolgozás" piros gomb világítson (lásd a 6.1.1 ábra A pontját).
iEUD $ ODSQp] H WEHDGiVLIHOV]yOtWiVPHQD]DXWR PDWDLQGtWiVDV]iPiUD
- A felszólítás után nyomjuk meg az egyik zöld kerek indító gombot a beadó, vagy kiadó
oldalon. Az "állapot" sor a képernyõn azt az akciót mutatja, amelyet éppen végzünk.
- Az "Akció" sorban közvetlen alatta (zölddel) azok az akciók kerülnek jelzésre, amelyeket
végre kell hajtanunk.
A referencia pont-menet befejezése után az automata üzemkész állapotba kerül.
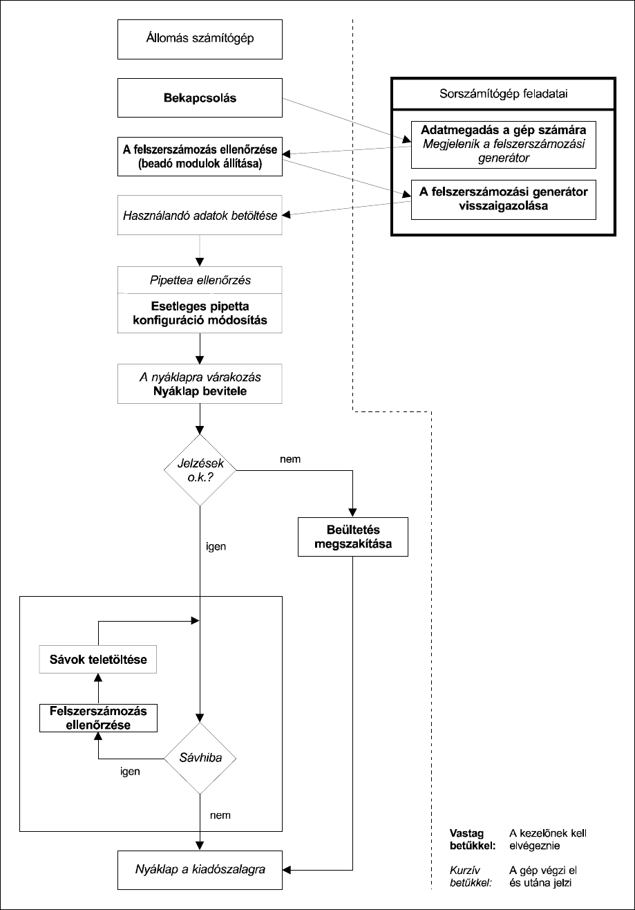
$ 6,3/$&(VRUIRO\ DPDWGLDJUDPMiQDNEHNDSFVROiVD
A következõ folyamat diagram bemutatja a sorszámítógép, automata akcióit, ill. a kezelõjét
a SIPLACE-sor bekapcsolása, ill. felfuttatása alatt.

Használati utasítás a SIPLACE 80S-20/F4/F4-6/F5 tipushoz 6 Mi a teendõ..
98/03-as kiadás az SR.404.xx szoftververziótól
6.1 Ha bekapcsoljuk a SIPLACE gépsort
6-5
iEUD $³6,3/$&(VRUNDSFVROiV´IRO\DPDWGLDJUDPMD