RS-1使用說明書.pdf - 第115页
第 1 部 基本篇 第 2 章 生产 2-4 2-2- 3 生产主菜单的构成 主菜单 下拉式菜单 内容 1 文件 1 打开 读入生产程序文 件。 参见「 2-6-1 打开 (读入文件 ) 」 2 保存 覆盖保存编辑的 生产程序。参 见「 2-6-2 保存 」 。 3 另存为 改变程序的文件 名并 另存 。参见 「 2- 6-3 另存为」 4 设备信息 的取得和保存 取得设备信息, 保存在文件里 。 5 生产管理 保存 将程序的 生产管理…

第 1 部 基本篇 第 2 章 生产
2-3
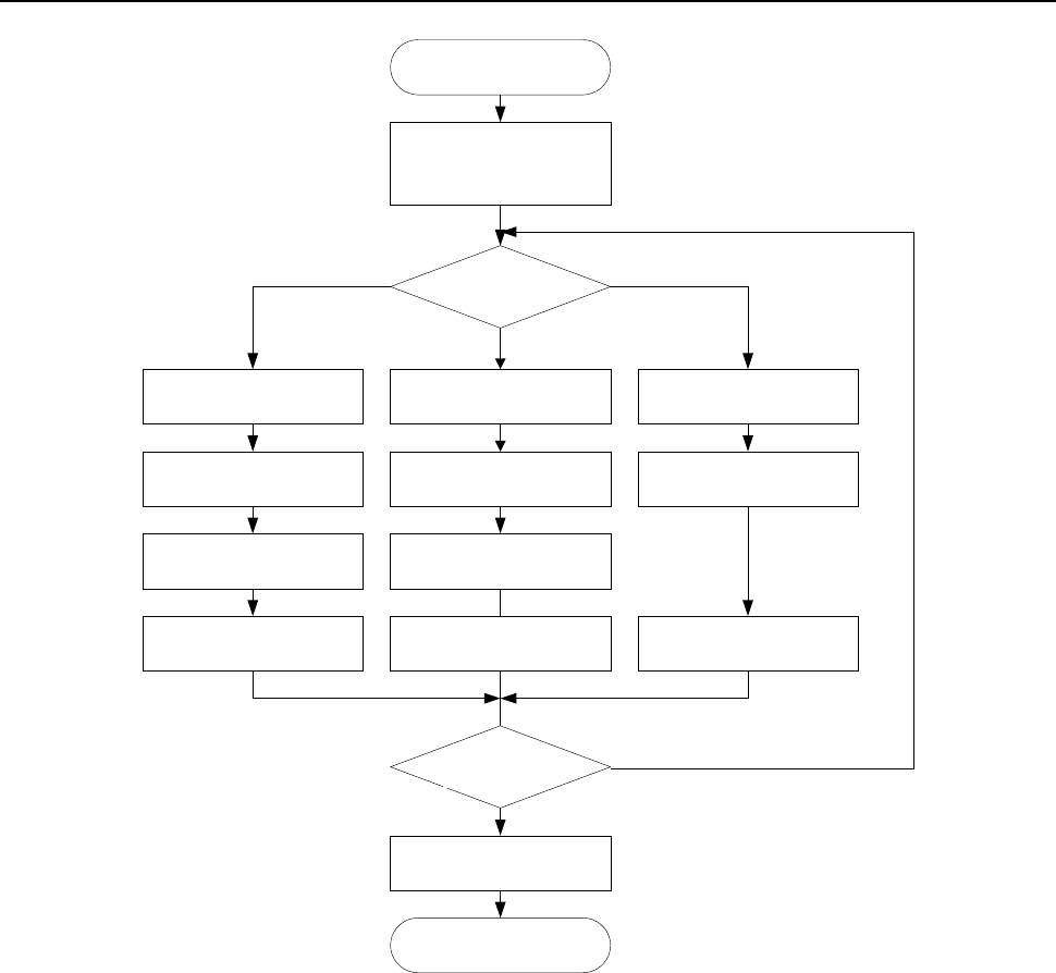
2-2-2 生产流程
START
生産条件を
選択して起動
終了
生産条件?
生産条件設定
部品数設定
基板生産
空打
空打条件設定
試打条件設定
部品数設定
試打
終了か?
実行モード指定
END
空打試打
基板生産
N
Y
実行モード指定
実行モード指定
START
选择生产条件
并起动
设置试打条件
设置生产条件
设置空打条件
指定运行模式 指定运行模式
试打
空打
设置元件数 设置元件数
试打 基板生产 空打
结束?
结束
END
N
Y
指定运行模式
生产条件?
生产基板
生产概略流程

第 1 部 基本篇 第 2 章 生产
2-4
2-2-3 生产主菜单的构成
主菜单
下拉式菜单
内容
1
文件
1 打开
读入生产程序文件。
参见「2-6-1 打开(读入文件)」
2 保存 覆盖保存编辑的生产程序。参见「2-6-2 保存」。
3 另存为 改变程序的文件名并另存。参见「2-6-3 另存为」
4 设备信息的取得和保存 取得设备信息,保存在文件里。
5 生产管理保存 将程序的生产管理信息以文本文件输出(*.csv)。
6 删除继续生产文件 删除含有继续生产文件的生产程序的继续生产文件。
2
窗口
1 生产条件画面
显示生产启动画面。
显示在基板生产条件、试打条件、空打条件、操作选
项中设置的内容。
设置共同项目、基板生产运行时、试打运行时、
空打运行时的条件。
2 生产状态(生产状况) 以图形显示生产运行中的各设备的状态。
3 生产状态(图像) 显示生产中拍照的图像识别画面。
4 生产状态(动作状态) 显示生产运行中的数据(步骤 No.等)。
5 生产状态(生产片数) 放大显示生产中基板数量。
6 生产管理(综合) 显示生产程序固定的储存数据。
7 生产管理(Head) 显示每个吸嘴 Head 储存的数据(吸取数等)。
8 生产管理(供应) 显示供应装置每个吸取位置的数据(吸取数等)。
9 生产管理(吸取率)
按最差顺序显示所有吸取装置的吸取位置
的吸取率。
10 电动供料器确认 显示电动供料器的状态。
11
核对检查
使用 IFS-NX 选购项时,可检查元件的核对状况。
3 生产程序
1 重试列表(供应设备) 显示供应装置的信息画面。
2 重试列表(未贴片) 显示未贴片列表画面。
3 设置元件数
显示元件数量设置画面。
对各吸取数据设置元件数量。
4 编辑数据 可变更一部分数据。
5 检查生产程序 执行生产前检查生产程序。
4
生产补助
(辅助)
1 支援准备 可进行生产开始前的准备工作。
2 跟踪贴片
生产前显示生产程序的贴片点列表,
对贴片点进行跟踪,确认元件贴片。
3
验证单独检查
可进行验证检查。
验证连续检查
4
通用图像元件方向单独检
查
可进行通用图像元件方向检查。
5
通用图像元件方向连续检
查
6 检测激光高度 可检测激光高度。
5
工具
1 操作选项
显示操作选项画面。
对生产中的动作进行设置。
2
显示项目 设置生产中的状态显示项目的显示/隐藏。
3 重新连接 IFS 服务器
使用
IFS-NX
选购项时,无需重新启动贴片机即可再
次连接
IFS
服务器。
4 情况通知目的地再连接
如果你使用,无需重新启动贴片机外部输出功能,重
新连接到通知目的地。

第 1 部 基本篇 第 2 章 生产
2-5
2-3 设备的启动和退出
2-3-1 设备的启动
(1) 向右旋转主机正面中央的「主开关」,接通电源。
注意
在系统完全退出之前,请勿关闭主开关,否则会导致 SSD 故障。
(2)
Windows 启动后,会显示下列启动画面。
主开关