RS-1使用說明書.pdf - 第287页
第 1 部 基本篇 第 2 章 生产 2- 176 在生产时 ,主 要 从主送料 器台架 吸取 元件。 可以更换主送料器台 架, 使后侧供料器台架 成为主送料器 台架。 将后侧供料器台架作为主送料器台架时, 「后侧作为 主台架」项为勾选状态。但「后侧作为 主台架」 处于未勾选状态时, 前侧供料器台架为主送料器 台架。 2- 17 - 3 生产动作 2- 17 -3- 1 生产开始时 (1) 主送料器台架为有效 时,从主送料器台 吸取元件…

第 1 部 基本篇 第 2 章 生产
2-175
在前侧指定 RF/EF 台架,使用 EF 类型供料器,在 后侧指定 RF 台架时,不可在 RF 台架配置 EF
类型供料器,所以不能按照优化顺序进行生产。
此时,请按照输入顺序进行生产。
2-17-2 机器动作模式的变更
在不间断操作功能下,可以交替使用不间断操作模式和标准动作模式(以下称为 JUKI 标准模式)的
2 类动作模式。
动作模式的交替,在「操作选项」下「生产」页面的「无停」进行设置。
在「生产」的「无停」,勾选上「不间断运行」成为「不间断操作模式」,去掉勾选则成为「JUKI 标准
模式」。
在不间断操作模式下,优先从主送料器台吸取。即使是从副送料器台吸取的过程中,如果主送料器台
侧补充元件的供料器台架开关置为 ON,则下一元件的吸取也将从主送料器台侧开始。
勾选「交替」项,变为「交替生产模式」。在交替生产模式下不间断操作生产时,元件用尽切换台架在
交替模式下进行(即使在主送料器台侧补充元件,也会在副送料器台侧元件用尽前一直从副送料器台
侧吸取)。
勾选「不间断操作」状态,以下项目将无条件处于不使用状态,无法选择。
① 发生元件用尽时暂停。
② 发生错误时暂停。
③ 元件用尽开始时测量元件高度。
④ 元件用尽开始时进行验证检查。

第 1 部 基本篇 第 2 章 生产
2-176
在生产时,主要从主送料器台架吸取元件。可以更换主送料器台架,使后侧供料器台架成为主送料器
台架。
将后侧供料器台架作为主送料器台架时,「后侧作为主台架」项为勾选状态。但「后侧作为主台架」
处于未勾选状态时,前侧供料器台架为主送料器台架。
2-17-3 生产动作
2-17-3-1 生产开始时
(1) 主送料器台架为有效时,从主送料器台吸取元件。
在设置处,「统一更换台选项」或者「供料器浮起选项」为未勾选时,显示「在设置数据中,送料
器统一更换台选项为无效。」或者「在设置数据中,供料器浮起选项为无效状态。」的信息。
在此状态下删除信息,按下触摸开关的开始键开始生产。
(2) 主侧的供料器台架为无效,副侧的供料器台架为有效时
● 交替(生产程序更换)之后
在画面上显示「未完成替换准备,请把送料器台架设置为有效。」的信息。在此状态下将主侧的
供料器台架为有效后,删除信息,按下触屏开关的开始键,从主侧的供料器台架吸取元件。
在主侧的供料器台架处于非有效状态下按下开始键,则从副侧的供料器台架吸取元件。
● 在同一生产程序下开始生产
从副侧的供料器台架吸取元件。
(3) 主侧、副侧两侧的供料器台架均为无效时
显示重试并暂停。

第 1 部 基本篇 第 2 章 生产
2-177
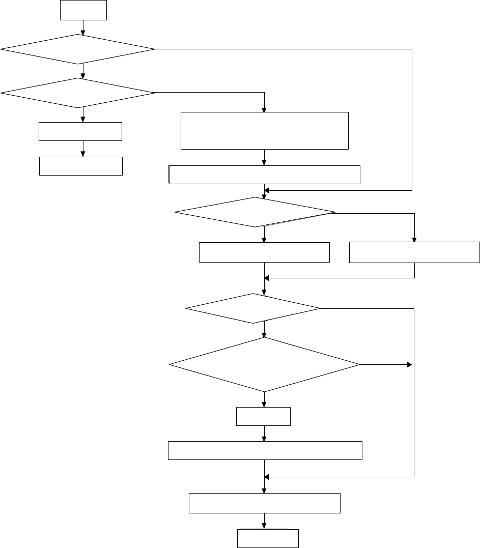
● 动作流程
生産開始
前側フィーダバンクは有効か?
後側フィーダバンクは有効か?
エラーログ画面表示
マシンは一時停止状態
「段取り替えが完了していません。フィーダバンクを有効
にして下さい」メッセージ表示
メッセージを消去し、スタートキーを押してください
マスタフィーダバンクは有効か?
部品吸着のフィーダバンクを
マスタ側にする
段取り替え直後か?
セットアップの「一括交換台」あるいは「フィーダ浮き」
がチェックされていないか?
メッセージ表示
メッセージを消去し、スタートキーを押してください
指定フィーダバンクから部品吸着を行います
生産動作開始
部品吸着のフィーダバンクをサブ側
にする
Yes
Yes
Yes
Yes
Yes(少なくともどちらかが
チェックされている)
No
No
No
No(すべてチェックされている)
No
开始生产
后侧送料器台架有效?
显示错误日志画面
机器暂停状态
显示「交替准备未完成。请将送料器台架置为有
效」信息
删除信息,按下开始键
吸取元件的送料器台架为主侧
吸取元件的送料器台架为副侧
No(全部勾选)
Yes (最少任选一项)
显示信息
删除信息,按下开始键
从指定送料器台架吸取元件
开始生产动作
前侧送料器台架有效?
是刚完成交替吗?
主侧送料器台架有效?
设置的「统一更换台」或 者「 送
料器浮起」处于未勾选?