KE2010取扱説明書Ver.2.01和文Rev.08.pdf - 第285页
4 - 181 4-12-3-6. コプラナリティパラメータ取得の概要 コプラナリティパラメータ取得の概要 コプラナリティパラメータ取得の概要 コプラナリティパラメータ取得の概要 パラメータ 取得開始 検査実行 (ダイアログ) コプラナリティ 検査 結果表示 (ダイアログ) パラメータ 取得終了 検査実行 終了 ビジョン認識 設定回数 終了 判定 パラメータ 変更 図 …

4 - 180
4-12-3-3.プラナリティ検査の検査概要
プラナリティ検査の検査概要プラナリティ検査の検査概要
プラナリティ検査の検査概要
以下にコプラナリティ検査の概要フロー図を示します。
コプラナリティ
検査開始
検査実行
(ダイアログ)
コプラナリティ
検査
結果表示
(ダイアログ)
コプラナリティ
検査終了
検査実行
終了
ビジョン認識
図
図図
図
4-12-3-2
コプラナリティ検査の概要処理フロー
コプラナリティ検査の概要処理フローコプラナリティ検査の概要処理フロー
コプラナリティ検査の概要処理フロー
4-12-3-4.コプラナリティ検査の検査方式
コプラナリティ検査の検査方式コプラナリティ検査の検査方式
コプラナリティ検査の検査方式
部品データに設定されている値で、ビジョン認識→コプラナリティ検査の一連の制御を実施し、エラーにならない
ことを検査します。
4-12-3-5.コプラナリティ検査中ダイアログ
コプラナリティ検査中ダイアログコプラナリティ検査中ダイアログ
コプラナリティ検査中ダイアログ
コプラナリティ検査ダイアログで、検査ボタンを押すと、コプラナリティ検査が実行され、実行中は以下のダイア
ログが表示されます。
図
図図
図
4-12-3-3
コプラナリティ検査中ダイアログ
コプラナリティ検査中ダイアログコプラナリティ検査中ダイアログ
コプラナリティ検査中ダイアログ

4 - 181
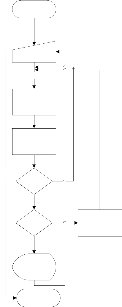
4-12-3-6.コプラナリティパラメータ取得の概要
コプラナリティパラメータ取得の概要コプラナリティパラメータ取得の概要
コプラナリティパラメータ取得の概要
パラメータ
取得開始
検査実行
(ダイアログ)
コプラナリティ
検査
結果表示
(ダイアログ)
パラメータ
取得終了
検査実行
終了
ビジョン認識
設定回数
終了
判定
パラメータ
変更
図
図図
図
4-12-3-4
コプラナリティパラメータ取得処理フロ
コプラナリティパラメータ取得処理フロコプラナリティパラメータ取得処理フロ
コプラナリティパラメータ取得処理フロー
ーー
ー
4-12-3-7.コプラナリティパラメータ取得の検査方式
コプラナリティパラメータ取得の検査方式コプラナリティパラメータ取得の検査方式
コプラナリティパラメータ取得の検査方式
コプラナリティ検査が、安定しない場合に、電極明るさしきい値、スキャン位置オフセット
リード部品のみ
を、
設定値に対して変更し、計測が安定するパラメータを取得します。測定回数については、設定回数の倍数になり、
最大、設定回数×20
回程度になる場合があります。

4 - 182
4-12-3-8.
コプラナリティパラメータ取得中ダイアログ
コプラナリティパラメータ取得中ダイアログコプラナリティパラメータ取得中ダイアログ
コプラナリティパラメータ取得中ダイアログ
コプラナリティ検査ダイアログで、パラメータ取得の項目の取得ボタンを押すと、パラメータ取得が実行され、実
行中は以下のダイアログが表示されます。
図
図図
図
4-12-3-5
.
..
.
コプラナリティパラメータ取得中ダイアログ
コプラナリティパラメータ取得中ダイアログコプラナリティパラメータ取得中ダイアログ
コプラナリティパラメータ取得中ダイアログ
4-12-3-9.パラメータ取得継続確認ダイアログ
パラメータ取得継続確認ダイアログパラメータ取得継続確認ダイアログ
パラメータ取得継続確認ダイアログ
現状のコプラ検査パラメータの測定結果に不安定な要素(バラツキ等)がある場合は、測定エラーが発生しなくても、
このダイアログを表示します。
はいを押すと、継続パラメータ取得を実施します。この場合、最大、設定回数×20回程度の測定を実施します。
いいえを押すと、現状のコプラ検査パラメータを採用します。
図
図図
図
パラメータ取得継続確認ダイアログ
パラメータ取得継続確認ダイアログパラメータ取得継続確認ダイアログ
パラメータ取得継続確認ダイアログ
4-12-3-10.
パラメ
パラメパラメ
パラメータ取得結果ダイアログ
ータ取得結果ダイアログータ取得結果ダイアログ
ータ取得結果ダイアログ
コプラパラメータの最適値を取得した場合、取得した電極明るさしきい値
とスキャン位置オフセットが表示されます。
括弧内に取得前のパラメータ表示されます。はいを押すと、取得したパラ
メータに更新されます。いいえを押すと取得前のパラメータに設定されま
す。
図
図図
図4
44
4-
--
-12
1212
12-
--
-3
33
3-
--
-7
77
7パラメータ取得結果ダイアログ
パラメータ取得結果ダイアログパラメータ取得結果ダイアログ
パラメータ取得結果ダイアログ