RS-1使用说明书.pdf - 第283页
第 1 部 基本篇 第 2 章 生产 2-177 在生产时 ,主 要从主送料 器台架吸取元件 。 可以更 换主送料器台架 , 使后侧 供料器台架成为 主送料器 台架。 将后侧供料器台架 作为主送料器台 架时, 「后侧作为主 台架」项为勾选状态 。但「后侧作为主台架 」 处于未勾选状 态时,前侧 供料器台架为主 送料器台架。 2-17-3 生产动作 2-17-3-1 生产开始时 (1) 主送料 器台架为有效 时,从主送料器 台 吸取元件。…

第 1 部 基本篇 第 2 章 生产
2-176
在前侧指定 RF/EF 台架,使用 EF 类型供料器,在后侧指定 RF 台架时,不可在 RF 台架配置 EF
类型供料器,所以不能按照优化顺序进行生产。
此时,请按照输入顺序进行生产。
2-17-2 机器动作模式的变更
在不间断操作功能下,可以交替使用不间断操作模式和标准动作模式(以下称为 JUKI 标准模式)的
2 类动作模式。
动作模式的交替,在「操作选项」下「生产」页面的「无停」进行设置。
在「生产」的「无停」,勾选上「不间断运行」成为「不间断操作模式」,去掉勾选则成为「JUKI 标准
模式」。
在不间断操作模式下,优先从主送料器台吸取。即使是从副送料器台吸取的过程中,如果主送料器台
侧补充元件的供料器台架开关置为 ON,则下一元件的吸取也将从主送料器台侧开始。
勾选「交替」项,变为「交替生产模式」。在交替生产模式下不间断操作生产时,元件用尽切换台架在
交替模式下进行(即使在主送料器台侧补充元件,也会在副送料器台侧元件用尽前一直从副送料器台
侧吸取)。
勾选「不间断操作」状态,以下项目将无条件处于不使用状态,无法选择。
① 发生元件用尽时暂停。
② 发生错误时暂停。
③ 元件用尽开始时测量元件高度。
④ 元件用尽开始时进行验证检查。
i

第 1 部 基本篇 第 2 章 生产
2-177
在生产时,主要从主送料器台架吸取元件。可以更换主送料器台架,使后侧供料器台架成为主送料器
台架。
将后侧供料器台架作为主送料器台架时,「后侧作为主台架」项为勾选状态。但「后侧作为主台架」
处于未勾选状态时,前侧供料器台架为主送料器台架。
2-17-3 生产动作
2-17-3-1 生产开始时
(1) 主送料器台架为有效时,从主送料器台吸取元件。
在设置处,「统一更换台选项」或者「供料器浮起选项」为未勾选时,显示「在设置数据中,送料
器统一更换台选项为无效。」或者「在设置数据中,供料器浮起选项为无效状态。」的信息。
在此状态下删除信息,按下触摸开关的开始键开始生产。
(2) 主侧的供料器台架为无效,副侧的供料器台架为有效时
● 交替(生产程序更换)之后
在画面上显示「未完成替换准备,请把送料器台架设置为有效。」的信息。在此状态下将主侧的
供料器台架为有效后,删除信息,按下触屏开关的开始键,从主侧的供料器台架吸取元件。
在主侧的供料器台架处于非有效状态下按下开始键,则从副侧的供料器台架吸取元件。
● 在同一生产程序下开始生产
从副侧的供料器台架吸取元件。
(3) 主侧、副侧两侧的供料器台架均为无效时
显示重试并暂停。
i

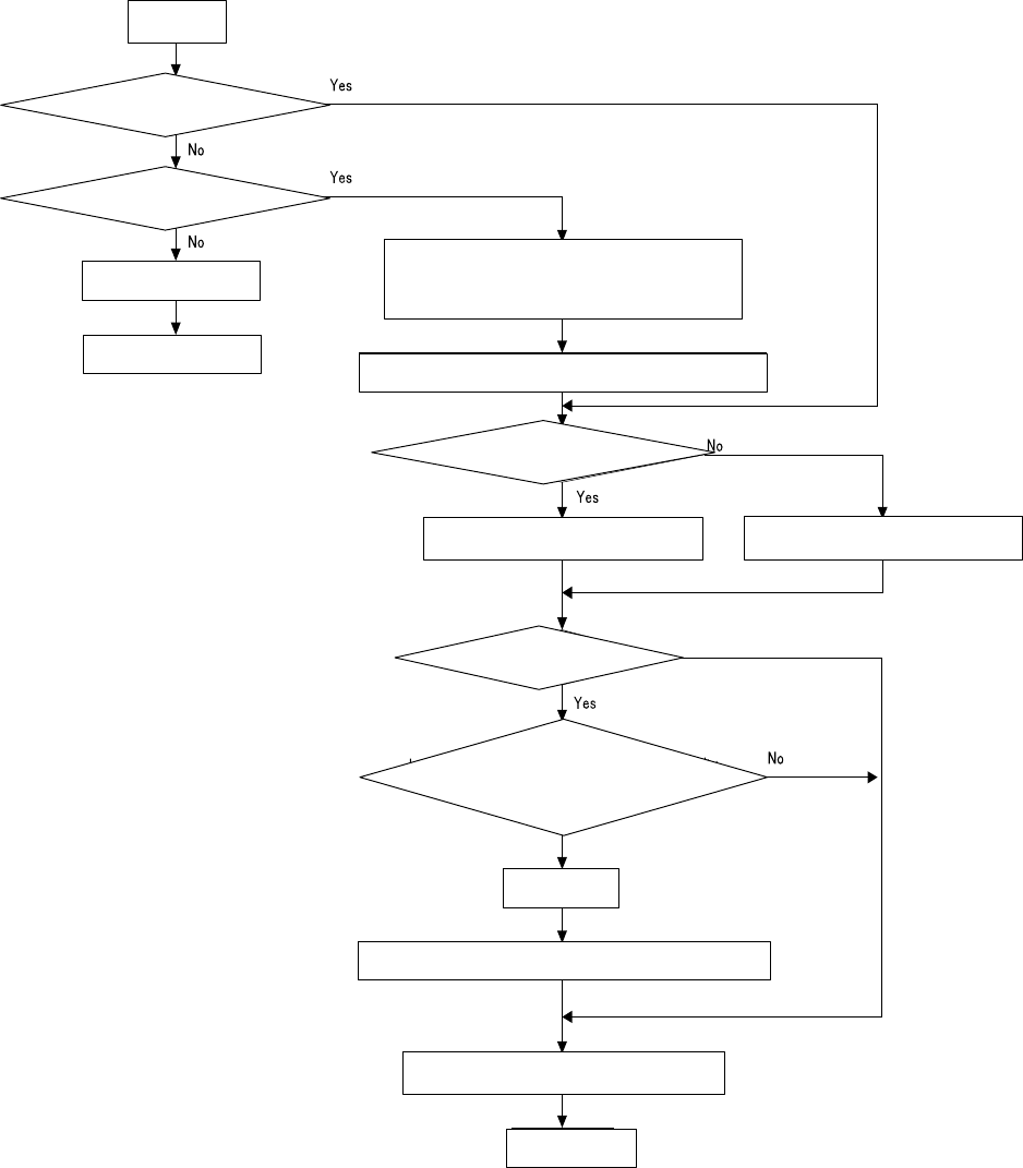
第 1 部 基本篇 第 2 章 生产
2-178
● 动作流程
开始生产
后侧送料器台架有效?
显示错误日志画面
机器暂停状态
显示「交替准备未完成。请将送料器台架置为有
效」信息
删除信息,按下开始键
吸取元件的送料器台架为主侧
吸取元件的送料器台架为副侧
No
(全部勾选)
Yes
(最少任
选
一项
)
显示信息
删除信息,按下开始键
从指定送料器台架吸取元件
开始生产动作
前侧送料器台架有效?
是刚完成交替吗?
主侧送料器台架有效?
设置的「统一更换台」或者「送
料器浮起」处于未勾选?