RS-1R使用说明书.pdf - 第285页
第 1 部 基本篇 第 2 章 生产 2- 173 2- 17 -3- 2 供料器台架有效按钮 可以 选择是否由 前后对应侧的供料器台架 执行元件吸取动 作。 (1) 在供料器台架有效时 按下按钮,可以 使供料器台架 为无效。 (2) 在供料器台架无效时 按下按钮,可以 使供料器台架 为有效。 供料器台架有效 时可以吸取元件 ,在供料器台 架无效时表示不 执行元件吸取 动作。 每按下一次按钮 , 有效和无效 相互交替 。 按下供料器台架…

第 1 部 基本篇 第 2 章 生产
2-172
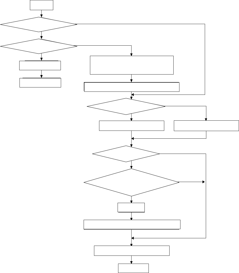
● 动作流程
生産開始
前側フィーダバンクは有効か?
後側フィーダバンクは有効か?
エラーログ画面表示
マシンは一時停止状態
「段取り替えが完了していません。フィーダバンクを有効
にして下さい」メッセージ表示
メッセージを消去し、スタートキーを押してください
マスタフィーダバンクは有効か?
部品吸着のフィーダバンクをマスタ側にする
段取り替え直後か?
セットアップの「一括交換台」あるいは「フィーダ浮き」
がチェックされていないか?
メッセージ表示
メッセージを消去し、スタートキーを押してください
指定フィーダバンクから部品吸着を行います
生産動作開始
部品吸着のフィーダバンクをサブ側にする
Yes
Yes
Yes
Yes
Yes(少なくともどちらかが
チェックされている)
No
No
No
No(すべてチェックされている)
No
开始生产
后侧送料器台架有效?
显示错误日志画面
机器暂停状态
显示「交替准备未完成。请将送料器台架置为有
效」信息
删除信息,按下开始键
吸取元件的送料器台架为主侧
吸取元件的送料器台架为副侧
No(全部勾选)
Yes(最少任选一项)
显示信息
删除信息,按下开始键
从指定送料器台架吸取元件
开始生产动作
前侧送料器台架有效?
是刚完成交替吗?
主侧送料器台架有效?
设置的「统一更换台」或者「送
料器浮起」处于未勾选?

第 1 部 基本篇 第 2 章 生产
2-173
2-17-3-2 供料器台架有效按钮
可以选择是否由前后对应侧的供料器台架执行元件吸取动作。
(1) 在供料器台架有效时按下按钮,可以使供料器台架为无效。
(2) 在供料器台架无效时按下按钮,可以使供料器台架为有效。
供料器台架有效时可以吸取元件,在供料器台架无效时表示不执行元件吸取动作。
每按下一次按钮,有效和无效相互交替。
按下供料器台架有效按钮,则显示子菜单。在子菜单中显示现在的供料器台架有效状态。
可选择的菜单仅限于现在的操作侧。
子菜单显示项目
状态
前台架有效
前台架为有效。
后台架有效
后台架为有效。
前台架无效
前台架为无效。
后台架无効
后台架为无效。

第 1 部 基本篇 第 2 章 生产
2-174
当供料器台架置的无效时刻正处于元件吸取动作中等时,从对应侧的供料器台架吸取元件有时不会马
上停止。
此时,在完成元件贴片动作之后,从下一元件吸取动作时将变更吸取的供料器台架。
・吸取 2 个元件后的贴片示例:
1
点目
の
部品吸着
(マスタ側のフィーダバンクからの吸着)
このタイミングではスレーブ側には切り替わりません
このタイミングからスレーブ側からの吸着となります
マスタ側
のフィーダバンクを
無効化
2
点目
の
部品吸着
(マスタ側のフィーダバンクからの吸着)
1点目の部品搭載
2点目の部品搭載
次
シーケンス
1点目の部品吸着(スレーブ側のフィーダバンクからの
吸着)
注意
在不间断操作模式下,即使处于生产中供料器台架下降,单侧供料器台架为有效状
态时,Head 也为高速移动。
请注意不要将手及头等伸入或靠近装置内。
2-17-3-3 发生元件用尽时
发生了元件用尽的供料器台架相应侧的元件用尽小型信号灯点亮,同时供料器台架变为无效状态。
取下供料器台架后重新安装在机器上,再使供料器台架有效后,点亮的小型信号灯将熄灭。
此外,该小型信号灯同时还是供料器台架安装是否正常的显示器,所以当机器上安装了供料器台架时,
如果安装不正常,即使供料器台架有效也依然处于点亮状态。
在该小型信号灯点亮,未取下供料器台架的状态下,使供料器台架有效,此小型信号灯也会熄灭。
第 2 个元件贴片
在此时刻并不切换到副侧
下一时序
吸取第 1 个元件(从副侧的供料器台架吸取)
在此时刻从副侧吸取
主侧的供料器台架无效化
第 1 个元件贴片
吸取第 2 个元件(从主侧的供料器台架吸取)
吸取第 1 个元件(从主侧的供料器台架吸取)