RS-1R使用说明书.pdf - 第974页
第 2 部 功能详解篇 第 12 章 选项组件 12 - 103 错误处理 执行 共面性 检查时 ,显示发生 错误 及错误日志。 ・ 选择 [ 废弃元件 ] 时( 参见 7-4-4 章) ・ 选择 [ 暂停 ] ( 参见 7-4-4 章) ② ①

第 2 部 功能详解篇 第 12 章 选项组件
12-102
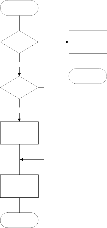
共面性单元的检查流程
注 1) BGA、FBGA 的共面性检查仅为最小自乘平面法。
注 2) 单向引脚连接器不执行平行(共线性)检查。
注 3) 单向引脚连接器的共面性检查与当前状态的平行(共线性)检查同样。
START
是BGA?
共线性检查
(注2)
共面性检查
(注1)
是
是单方向引脚
连接器?
共线性检查
(注3)
不是
不是
是
END
END

第 2 部 功能详解篇 第 12 章 选项组件
12-103
错误处理
执行共面性检查时,显示发生错误及错误日志。
・选择 [废弃元件] 时(参见 7-4-4 章)
・选择 [暂停](参见 7-4-4 章)
②
①

第 2 部 功能详解篇 第 12 章 选项组件
12-104
(1) 重新开始模式
从共面性错误、平行(共线性)错误的暂停重新开始方法有“再检查”及“进行贴片”、“不要贴片”。
重新开始模式
生产动作重新开始时的动作
再检查 对检查中错误的元件的进行重新检查。
进行贴片
忽略错误,对检查中错误的元件进行贴片。
不要贴片
废弃检查中错误的元件,不贴片。
(2) 详细信息
在共面性错误、平行(共线性)错误的暂停对话框中,按下[详细信息]按钮,即显示详细信息对
话框。
选择发生了共面性错误、平行(共线性)错误的 Head,按下[共面性信息取得]按钮,将操作选项
的[检查]-[输出共面性详细信息]中设定的电极信息显示在 NotePad(记事本)里。