RX-6 使用说明书 用户使用 Rev11.pdf - 第1039页
第 2 部 功能详解篇 第 12 章 选项组件 12 - 97 12 - 12 - 8 生产 共面性检查会在 基板生产、试 打、空打 时执行。 空打 时不进行 实际的检查 。 12 - 12 -8- 1 共面性检查步骤 ① 对象元件的吸取 ② 向 VCS 位置移动 ③ 使用 VC S 进行图像 识别 ④ 移动到 共面传 感器测量开始 位置 ⑤ 检查有无可执行 共面性检查的 元件 ⑥ 根据 图像 识别结果进行 位置 校正 ⑦ 检查元件的 …

第 2 部 功能详解篇 第 12 章 选项组件
12-96
12-12-7 编辑辅助
请启动「编辑程序」,选择「元件数据」,从「测量・ 检查」中选择「共面检查」。
项目 内容
检查元件 显示进行共面性检查的元件内容。
吸取坐标 显示吸取元件的吸取位置的内容。
把示教结果反应在
吸取数据上
选择将示教的结果反映到吸取数据。
取消勾选时,仅适用本次吸取时的坐标。
[送料]按钮 顶推一次送料器,传送元件。(32mm 纸带除外)
使用 Head 可选择要进行共面性检查的 Head。
曝光时间 显示共面传感器内的摄像机曝光时间。
检查角度 显示共面性检查角度。
代替检查角度 显示共面性代替检查角度。
状态 显示共面性检查结果。
OK : 无错误
NG : 错误
**** : 检查未执行
注释 共面性检查中发生错误时,显示错误原因。
[图像识别信息]按
钮
显示图像识别时的识别信息。
[检查]按钮 执行共面性检查。
[前代替元件]按钮
变更为前代替元件的吸取位置。
[后代替元件]按钮
变更为次代替元件的吸取位置。
[返回]按钮 退出共面性检查,返回原画面。
调整检查条件 共面性检查不稳定时,进行检查角度及曝光时间的自动调整,取
得测量稳定的参数。

第 2 部 功能详解篇 第 12 章 选项组件
12-97
12-12-8 生产
共面性检查会在基板生产、试打、空打时执行。
空打时不进行实际的检查。
12-12-8-1 共面性检查步骤
① 对象元件的吸取
② 向 VCS 位置移动
③ 使用 VCS 进行图像识别
④ 移动到共面传感器测量开始位置
⑤ 检查有无可执行共面性检查的元件
⑥ 根据图像识别结果进行位置校正
⑦ 检查元件的共面性
⑧ 根据共面传感器测量结果判定是否合格
[合格判定后的处理]
⑧_1 元件废弃
⑧_2 元件贴片
⑧_3 暂停
吸取对象元件
向 VCS 位置移动
使用 VCS 进行图像识别
向共面传感器位置移动
检查元件
共面性检查
合格判定
结束
元件位置校正
①
②
③
④
⑤
⑥
⑦
⑧
参见下一页的处理流程(共面性检查的流程)

第 2 部 功能详解篇 第 12 章 选项组件
12-98
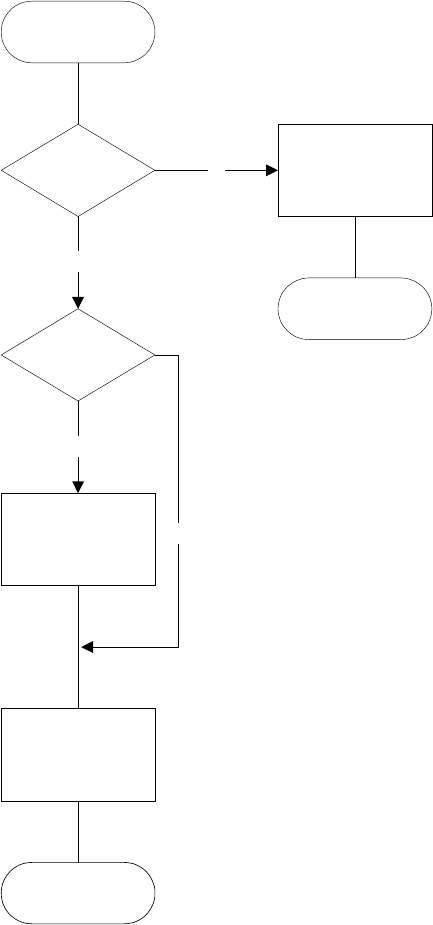
共面性单元的检查流程
注 1)BGA、FBGA 的共面性检查仅为最小自乘平面法。
注 2 单向引脚连接器不执行平行(共线性)检查。
注 3)单向引脚连接器的共面性检查与当前状态的平行(共线性)检查同样。
START
是BGA?
共线性检查
(注2)
共面性检查
(注1)
是
是单方向引脚
连接器?
共线性检查
(注3)
不是
不是
是
END
END