KE-2070_使用说明书.pdf - 第549页
第 1 部 基本篇 第 4 章 制作生产程序 4- 232 2) 管理 ① 修改名称 可修改已注册的 名称。把光标对 准表内需要修 改的数据行,按 下“修改名称 ”按钮。 显示如下的设定 画面后,请输入 新名称。 图 4-5-4-5-1- 2 修改标记数据名称 ② 删除 可删除已注册的 数据。将光标对 准列表内需要 删除的数据所在 行,按下“删 除”按钮。 显示如下设定画 面后, 请按“确定”按 钮。 图 4-5-4-5-1- 3 确认…

第 1 部 基本篇 第 4 章 制作生产程序
4-231
4-5-4-5 管理
对“示教”中,在标记数据示教时注册的标记数据的数据库文件,进行各种管理。
4-5-4-5-1 管理:标记数据库
对于标记数据示教时注册的标记数据的数据库文件,进行各种管理。
从菜单栏中选择“机器操作”/“管理”/“管理”/“标记数据库”,显示如下画面。
图 4-5-4-5-1-1 标记数据库管理
(1) 已注册的标记数据
列表中显示数据库储存的标记数据。各项目的含义如下。
项目 含义
名称
标记名称
(在文字前面显示形状)
更新日期 在数据库注册的日期
尺寸
标记数据的纵横像素数(像素数,1mm=约 77 像素)
aaa x bbb
aaa = 横方向的像素数
bbb = 纵方向的像素数
极性
标记的显示方式
正色 = 黑底白标记
反色 = 白底黑标记
Scale(比例)
标记的图像数据 Scale(比例)
多值化 = 标记数据采用多级图像
二值化 = 标记数据采用 2 级图像
照明图案
标记识别的照明图案
标准:采用标准的照明图案
阻剂/保护膜:采用阻剂/保护膜的照明图案
用户:采用用户自定义的照明图案

第 1 部 基本篇 第 4 章 制作生产程序
4-232
2) 管理
① 修改名称
可修改已注册的名称。把光标对准表内需要修改的数据行,按下“修改名称”按钮。
显示如下的设定画面后,请输入新名称。
图 4-5-4-5-1-2 修改标记数据名称
② 删除
可删除已注册的数据。将光标对准列表内需要删除的数据所在行,按下“删除”按钮。
显示如下设定画面后,请按“确定”按钮。
图 4-5-4-5-1-3 确认删除

第 1 部 基本篇 第 4 章 制作生产程序
4-233
4-5-4-6 元件示教
本功能用于对球形元件(通用画像元件、BGA、FBGA)的球面进行测量。
打开罩进行手动吸取等操作时,请充分注意,防止设备的运行造成人身伤害。
并要小心,避免手和衣服被供料器台架夹住、头部碰撞。
4-5-4-6-1 元件示教
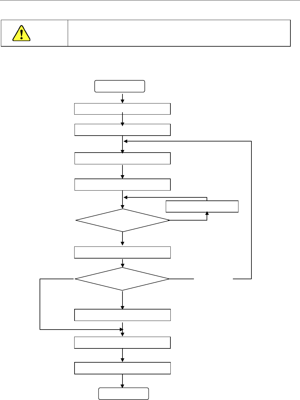
测量的运行概要流程示图如下。
图 4-5-4-6-1-1 BGA、FBGA 球面测量流程图
开始
吸取元件
测量高度
示教元件倾斜
修正元件倾斜
指定排除领域?
确认识别
处理
测量球形数据
测量真空
归还元件
结束
取消
示教排除领域
是
否
重新测量
确定
注意